网站首页  词典首页

请输入您要查询的字词:

 

字词 韦伯斯特公式
类别 中英文字词句释义及详细解析
释义 韦伯斯特公式

路口交通信号配时法。

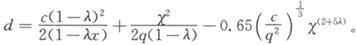
发表于英国道路研究实验室1958年《道路研究技术报告第39号》。韦伯斯特通过大量的现场交通观测,用排队论和计算机模拟相结合的方法,导得交叉路口各进口道车辆的平均延误的经典公式:

式中:d——交叉路口一条进口道车辆的平均延误

c——信号控制的周期时间(s);

λ——所考察交通信号相位的有效绿灯时间在周期时间中的比率;

q——车流量(pcu/h),这里pcu为当量小汽车;

x——饱和度,实际车流量与最大车流量之比,即(),这里s为饱和流量(pcu/h)。

这个公式中的第1项是车辆均匀到达造成的延误,第2项是车辆随机到达造成的延误,第3项从车流模拟试验中导得。

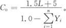
韦伯斯特还同时提出确定交通信号最佳周期的公式:

式中:Co——最佳周期(s);

L——nl+R;

n——相位数;

l——每相位平均损失时间(s);

R——每个周期中,所有信号均为红色信号的时间。

韦伯斯特还进一步推导出每相位绿灯信号时间的分配与临界车道的交通量成比例,从而确定两相位交叉路口的绿灯信号时间公式:

Gt=Go-A1-A2-nl。

式中:Gt——净绿灯信号时间(s);

Go——最佳周期(s);

A1——第1相位的黄灯时间(s);

A2——第2相位的黄灯时间(s);

n——相位数;

l——每相位的损失时间(s)。

随便看

 

文网收录3541549条中英文词条,其功能与新华字典、现代汉语词典、牛津高阶英汉词典等各类中英文词典类似,基本涵盖了全部常用中英文字词句的读音、释义及用法,是语言学习和写作的有利工具。

 

Copyright © 2004-2024 Ctoth.com All Rights Reserved
京ICP备2021023879号 更新时间:2025/12/3 22:43:04