顺流溢浆式网槽的设计计算实例
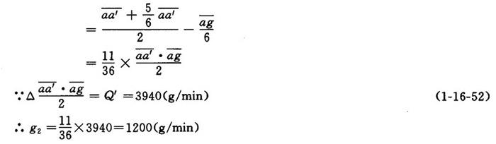
【说明】 该实例与上述计算从步骤及方法上有所不同,可参考运用(参见图1-16-5)。 【例】 1、设计依据 ❶ 工艺条件(生产书写纸) V——纸机抄速:70m/min P——上浆浓度:0.13% G——纸的定量:50g/m2 W——纸面宽:1125mm g——回浆量:40% ❷ 网笼规格 D——直径:Φ1270mm S——网笼面宽:1300mm W1——网有效宽度:W1=W=1125mm ❸ 假设条件 A——网槽宽:1480mm L——滤面长:2520mm 白水位与排浆无影响 ❹ 设计依据 圆弧三角形挂浆法 三角滤水法(回浆浓度大,上浆浓度7.5%) 进口浆速V1′=75%V(抄速) 出口浆速V2′=35%V(抄速),相当于:V2∶V=1∶3,各点浆速呈正比例下降。 2.网槽流浆箱的计算 ❶ 浆的流量Q 【公式】  3.排浆部“牛角道”计算 【说明】 由已知条件知:V1′=75%V,V2′=35%V,各项计算如下(分六等分),速比按正比例下降。见图1-16-8 ❶ “牛角道”各点浆速比 a点浆速比V1=75%   ❸ “牛角道”单位时间挂浆量Q′ 【公式】  ❹ “牛角道”通过浆量Q″ 【公式】 Q″=Q1(+40%) (1-16-49) =3940(1+40%)=5520(g/min) =5.52(kg/min) (4)“牛角道”尺寸的设计 ❶ 的计算 已知经过浆量Q1=Q″=5520(g/min),故:   b.经过浆量Q2 【公式】 Q2=Q1-g2=5520—1200=4.320(kg/min) c. 的计算  ❹ (挂浆中点)的计算 a. 前挂浆量g4 【公式】  b.经过浆量Q4 【公式】   |