网站首页  词典首页

请输入您要查询的字词:

 

字词 顾客源为有限(m)的M/M/C排队模型
类别 中英文字词句释义及详细解析
释义 顾客源为有限(m)的M/M/C排队模型

模型条件:

系统顾客总体为有限数m,且m>c,其他条件与标准M/M/C模型相同。

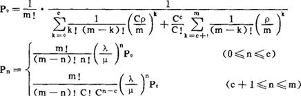
系统运行主要指标计算公式:

(1)服务强度

(2)系统中没有顾客和有n个顾客的概率:

(3)系统中队长的期望值:

(4)系统中队列长的期望值:

(5)系统中顾客逗留时间的期望值:

(6)系统中顾客排队等候时间期望值:

(7)系统中顾客有效到达率:

λe=λ(m-Ls)

〔参〕排队模型分类 标准M/M/1模型

随便看

 

文网收录3541549条中英文词条,其功能与新华字典、现代汉语词典、牛津高阶英汉词典等各类中英文词典类似,基本涵盖了全部常用中英文字词句的读音、释义及用法,是语言学习和写作的有利工具。

 

Copyright © 2004-2024 Ctoth.com All Rights Reserved
京ICP备2021023879号 更新时间:2026/4/17 15:55:20