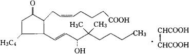
马来酸曲莫前列素
C23H38O4·C4H4O4=494.62 CAS-69900-72-7(trimoprostil) (5Z,11α,13E,15R)-15-羟-11,16,16-三甲基-9-氧代-前列腺-5,13-二烯-1-酸马来酸盐。 (5Z,11a,13E,15R)-15-Hydroxy-11,16,16-trimethyl9-oxo-prosta-5,13-dien-1-oic acid maleate. (Z)-7-[(1R,2R,3R)-2-[(E)-(3R)-3-羟-4,4-二甲基-1-辛烯基]-3-甲基-5-氧代环戊基]-5-庚烯酸(Z)-2-丁烯二酸盐(1∶1)。 (Z)-7-[(1R,2R,3R)-2-[(E)-(3R)-3-Hydroxy-4,4-dimethyl-1-octetnyl]-3-methyl-5-oxocyclopentyl]-5-heptenoic acid(Z)-2-butenedioate(1∶1). 前列腺素类药,抗胃分泌药。 Trimoprostil Maleas. INN(Trimoprostil),USAN.  |