驻相法
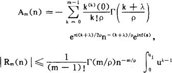
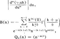
阶的估计的重要方法。 主要是对积分 进行阶的估计,其中f(x)与φ(x)都是实函数。若将被积函数看作一个向量,则它的相角应该是nf(x),当f(x)的数值不稳定,即其变化较大时,由于einf(x)的数值在-1与1之间交替变化,这样正值与负值“相互抵消”,使得相应的φ(x)einf(x)的数值对整个积分值所起的作用仅处于次要地位,而相应于f(x)变化稳定部分φ(x)einf(x)的数值,对整个积分值所起的作用,则起著主要作用,这就是驻相法的基本思想。所谓f(x)变化稳定,自然可用条件f’(x)=0来加以描述,使f’(x)=0的点x0,称为驻相点。关于这方面的主要结果有:(1)设f(z)与φ(z)在包含〔a,b〕的某个单连通域内解析,而且它们在〔a,b〕上均取实值,f’(z)仅在点x=a为零,则当f”(a)>0时, ,当f”(a)<0时,I=(-π/2nf”(a)1/2φ(a)einf(a)-1/4πi+O(1/n);(2)设f(z)与ψ(z)的条件与(1)相同,但f’(z)仅在x=6为零,则当f”(b)>0时,I=(π/2nf”(b))1/2ψ(b)einf(b)+1/4πi+o(1/n),当f”(b)<0时,I=(-π/2nf”(b)1/2ψ(b)einf(b)+1/4πi+0(1/n);(3)设f(z)与ψ(z)的条件与(1)相同,但f’(a)=0,f”(a)=0,f’”(a)>0,则I=Г(4/3)(b/nf’”(a))1/3einf(a)+1/6πiφ(a)+0(n-2/3);(4)设0<λ<1,0<μ<1,φ(x)在〔a,b〕上m次连续可微,f(x)连续可微且有关系式 f’(x)=(x-a)ρ-1(b-x)θ-1f1(x) 其中ρ≥1,θ≥1,f1(x)在〔a,b〕上正值,而且也是m次连续可微,则 其中A(n)=Am(n)+Rm(n),B(n)=Bm(n)+Qm(n),   以上结果有许多重要应用,例如,利用(1)及(2)可得,当n→∞时, ;利用(4)可得,当n→∞时, 等。 |