高斯求积法
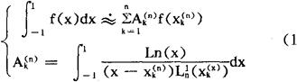
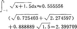
如何利用函数f(x)在某些点上的函数值,给出积分 的近似值,这是个数值积分问题。 高斯求积公式是数值积分中最常用的公式之一。  就是高斯求积公式。这里的 , 是它的n个根。在实际计算时, 及 都可通过查表给出,然后代入(1)式即可。  给出表格如下  用两点高斯求积公式,则得 (2)  若用三点高斯求积公式,则得  此积分的精确值为 。 高斯求积公式计算稳定且具有较高的精确度,当f(x)是次数≤2n-1次多项式时,(1)是精确成立的。 如果积分区间是〔a,b〕,可先通过变量替换化为〔-1,1〕上的积分:  然后再利用高斯求积公式。 |