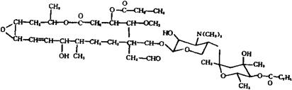
麦利多霉素
C41H67NO16=829.98 CAS-35775-82-7 3,6-二脱氧-4-O-(2,6-二脱氧-3-C-甲基-α-L-核己吡喃糖基)-3-(二甲氨基)-β-D-吡喃葡萄糖甙4″,7′-二丙酸10-(甲酰甲基)-7,13-二羟-8-甲氧-3,12-二甲基-5-氧代-4,17-二氧杂二环[14.1.0]十七碳-14-烯-9-基酯。 10-(Formylmethyl)-7,13-dihydroxy-8-methoxy-3,-12-dimethyl-5-oxo-4,17-dioxabicyclo[14.1.0]heptadec-14-en-9-yl3,6-dideoxy-4-O-(2,6-dideoxy-3-C-methyl-α-L-ribo-hexopyranosyl)-3-(dimethylamino)-β-D-glucopyranoside4″,7′-dipropionate(ester). 抗生素类药。 马立霉素。 Maridomycin. INN,JAN,USAN. 
|