网站首页  词典首页

请输入您要查询的字词:

 

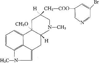
字词 麦角溴烟酯
类别 中英文字词句释义及详细解析
释义 麦角溴烟酯

C24H26BrN3O3=484.39

CAS-27848-84-6

10-甲氧-1,6-二甲基麦角灵-8β-甲醇5-溴烟酸酯。

10-Methoxy-1,6-dimethylergoline-8β-methanol 5-bromonicotinate(ester).

血管扩张药。

Sermion,Nicergoline,Nargolin.

INN,BAN,DCF,DCIT,NFN,USAN,MI.

随便看

 

文网收录3541549条中英文词条,其功能与新华字典、现代汉语词典、牛津高阶英汉词典等各类中英文词典类似,基本涵盖了全部常用中英文字词句的读音、释义及用法,是语言学习和写作的有利工具。

 

Copyright © 2004-2024 Ctoth.com All Rights Reserved
京ICP备2021023879号 更新时间:2026/5/15 15:19:19