26.噁嗪草酮
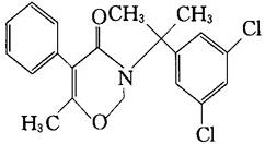
中文通用名称:噁嗪草酮,英文通用名称:oxaziclomefone,其他名称:去稗安,化学名称:3-[1-(3,5-二氯苯基)-1-甲基乙基]-3,4-二氢-6-甲基-5-苯基-2H-1,3-噁嗪-4-酮,化学分子式:C20H19Cl2NO2,相对分子量:376.28。 化学结构式:  理化性质:白色结晶,熔点148±1℃,蒸汽压(25℃)1.33×10-2mPa。20℃时溶解度:水0.18mg/L,丙酮96.0g/L,甲醇15.2g/L,乙酸乙酯67.0g/L。 毒性:大、小鼠急性口服LD50>5000mg/kg,大、小鼠急性经皮LD50>2000mg/kg。 农药类别:低毒有机杂环类除草剂。 |