2×2混合策略求解
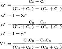
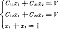
2×2混合策略即局中人A,B各有二个可选择策略的非确定型矩阵对策问题,是混合策略中最简单的一种。 常用的求解方法有三种: (1)线性方程组解法: 设有2×2混合策略问题  对局中人A,可求解方程组:  对局中人B,可求解方程组:  从而得到最优策略。 (2)公式法: 利用2×2混合策略的通解公式求解:  (3)图解法: 由求解2×2混合策略局中人A策略的线性方程组  可以x1,x2为横坐标(取不同方向),V为纵坐标,作出求解局中人A策略的图形  图形中加粗折线的顶点0即为局中人A的解,从0点对应的横坐标与纵坐标值求出X1*,X2*及V*。 由求解2×2混合策略局中人B策略的线性方程组  以y1,y2为横坐标(取不同方向),V为纵坐标,可作出求解局中人B策略的图形  图形中加粗折线的底点0为局中人B的解,从0点对应的横坐标与纵坐标值求出y1*,y2*及V*。 的混合策略问题,均可用图解法求解。 |