鼓风机与引风机
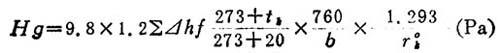
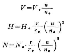
1.鼓风机的计算 (1)鼓风机的风量按下式计算:  式中:Vy——鼓风机的风量,m3/h; 1.1——风量备用系数; αL——炉膛过量空气系数; Bj——计算燃煤量,kg/h; V°——理论空气量,m3/kg; b——当地大气压,mmHg; tk——进入风机的冷空气温度,℃。 (2)鼓风机风压的计算:  式中:Hg——鼓风机风压、mmH2O; 1.2——风压备用系数; Σ⊿hf——风道总阻力,mmH2O; tk,b——含义同上式; 20——鼓风机铭牌上给出的气体温度,℃: ——760mmHg时空气的重度,r =1.293kg/m3。 2.引风机的计算 (1)引风机风量的计算:  式中:Vy——引风机风量,m3/h; 1.1——风量备用系数; Bj——计算燃煤量,kg/h; ——引风机前计入过量空气系数的每公斤燃料产生的烟气总体积,m3/kg; tp——引风机前的排烟温度,℃;一般可用锅炉排烟温度; b——含义同上式。 (2)引风机风压(Hy)的计算:  式中:1.2——风压备用系数; Σ⊿hy——烟道总阻力,mmH2O; Sy——烟囱引力,mmH2O; tp、b——含义同上式; 200——引风机铭牌上给出的气体温度,℃; ——760mmHg时的烟气重度, 。 3.风机所需电动机功率计算 ❶ 风机所需功率(Nf);  式中:V——风机风量,m3/h; H——风机风压,mmH2O; η1——风机在全压头时的效率,一般为0.6,高效风机为0.9; η2——机械传动效率,其值为: 当风机与电动机直联时η2=1.0 当风机与电动机用三角皮带传动时,η2=0.90~0.95; 当风机与电动机用联轴器连接时,η2=0.95~0.98; 当风机与电动机用平皮带传动时,η2=0.8。 ❷ 电动机功率(Nd)按下式计算:  式中:η3——电动机效率,常取η3=0.90; B——电动机备用系数,按表14-2—89采用。 表14-2-89  4.风机性能与转数关系 在保证风机效率不变的条件下,离心风机的性能与转数有下列关系:  式中:V、H、N、V——转数为n时,风机的风量,风压,功率和介质重度; Y。、No、Ho、Vo——转数为no时,风机的风量,风压,功率和介质重度。 |