别名 甘油三松香酸酯
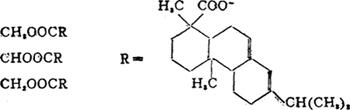
结构式

主要成分 以甘油三松香酸酯为主,另含少量单、双松香酸甘油酯。
性能 淡黄色至淡褐色易碎透明玻璃状块状物,无臭,或微有特殊臭气。不溶于水,溶于苯、甲苯、石油、松节油、亚麻仁油等,略溶于乙醇。相对密度约1.08。空气中易氧化,粉末有自燃性,可自燃爆炸。
毒性:急性试验对鼠一次经口20g/kg及5g/kg共四天,无死亡,内脏无异常病变。
质量规格 (JSCI-Ⅱ)

用途 胶姆糖胶基,可增强膜的强度。我国GB2760-86规定可作为乳化剂和口香糖基础剂,后者的用量≤10g/kg,用于乳化香精的最大用量≤100.0g/kg。