网站首页  词典首页

请输入您要查询的字词:

 

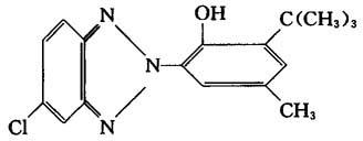
字词 2-(2′-羟基-3′-叔丁基-5′-甲基苯基)-5-氯代苯并三唑
类别 中英文字词句释义及详细解析
释义

2-(2′-羟基-3′-叔丁基-5′-甲基苯基)-5-氯代苯并三唑


【结构式】:

【释文】:

制法 由2-硝基-5-氯苯胺的重氮化产物与2-叔丁基对甲酚化合后,再经还原而得。

性质 淡黄色结晶粉末。分子量315.8。熔点137~141℃。溶于苯乙烯、苯、甲苯等溶剂和单体,不溶于水,表3-17为本品的溶解度。

表3-17 2-(2′-羟基-3′叔丁基-5′-甲基苯基)-5-氯代苯并三唑的溶解度(g/100mL溶剂,25℃)

用途 本品为紫外线吸收剂,能有效地吸收波长为270~380nm的紫外光,稳定效果卓越,对金属离子不敏感,在碱性条件下不会变黄,热挥发亦小。主要用于聚烯烃(特别是食品级制品)、聚氯乙烯、不饱和聚酯、聚酰胺、环氧树脂、ABS树脂、聚氨酯和纤维素树脂等,一般用量为0.1~3%。本品与多种树脂有良好的相容性,并兼有抗氧效能,与抗氧剂并用有协同效应,可提高制品的热氧稳定性。但由于本品吸收光的波长较长,对制品有轻微的初期着色。

毒性 本品毒性低,对大白鼠和小白鼠的经口LD50>5000mg/kg体重。以每日100mg/kg体重的剂量对雄性和雌性大白鼠进行两年的慢性毒性实验,未发现任何毒害作用,亦无致癌性,对实验动物的后代无不良影响。

许多国家允许本品用于接触食品的塑料制品,如美国(用于聚烯烃,参见FDA 121、2566)、英国(最高用量0.5%)、法国(最高用量0.6%)、意大利(在聚乙烯和聚丙烯中的最高用量0.5%,其它塑料为0.2%)、德国(最高用量0.3%)。日本对本品在食品包装材料中的用量限制是:聚乙烯0.3%、聚丙烯0.3%、聚苯乙烯0.5%(纯度达99.5%以上,包括其它光稳定剂的总量)、AS树脂0.2%、ABS树脂0.5%(纯度达99.5%以上)、聚氯乙烯0.2%。

国内生产厂 天津力生化工厂

国外生产厂

随便看

 

文网收录3541549条中英文词条,其功能与新华字典、现代汉语词典、牛津高阶英汉词典等各类中英文词典类似,基本涵盖了全部常用中英文字词句的读音、释义及用法,是语言学习和写作的有利工具。

 

Copyright © 2004-2024 Ctoth.com All Rights Reserved
京ICP备2021023879号 更新时间:2025/10/18 22:01:43