网站首页  词典首页

请输入您要查询的字词:

 

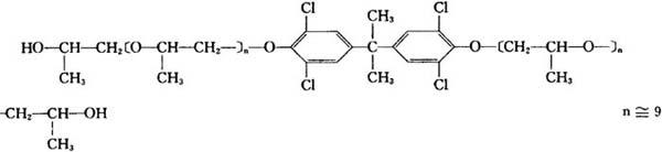
字词 2,2′〔异丙叉双(2,6-二氯对酚氧基)〕聚环氧丙烷二醇
类别 中英文字词句释义及详细解析
释义

2,2′〔异丙叉双(2,6-二氯对酚氧基)〕聚环氧丙烷二醇


【结构式】:

【释文】:

性质 琥珀色粘稠液体。平均分子量587。羟值191。氯含量24.1%。相对密度1.23。粘度1.50~2Pa·s(99℃)。溶于低级醇、苯、二甲苯、氯化溶剂、醋酸乙酯、醚、二元醇、三元醇。不溶于水和己烷。

用途 本品为反应型阻燃剂,适用于环氧树脂、不饱和聚酯和聚氨酯,不仅具有阻燃效果,而且可以改善树脂的化学稳定性。

国外生产厂

随便看

 

文网收录3541549条中英文词条,其功能与新华字典、现代汉语词典、牛津高阶英汉词典等各类中英文词典类似,基本涵盖了全部常用中英文字词句的读音、释义及用法,是语言学习和写作的有利工具。

 

Copyright © 2004-2024 Ctoth.com All Rights Reserved
京ICP备2021023879号 更新时间:2025/10/18 10:07:38