网站首页  词典首页

请输入您要查询的字词:

 

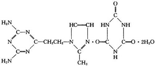
字词 2,4-二胺基-6-[2′-甲基咪唑基-(1)′]-乙基均三嗪异氰脲酸盐
类别 中英文字词句释义及详细解析
释义

2,4-二胺基-6-[2′-甲基咪唑基-(1)′]-乙基均三嗪异氰脲酸盐


【结构式】:

【释文】:

用途 本品为环氧树脂固化剂。适用于半导体零件等各种电子仪器及零部件的绝缘和保护用涂料、浇铸材料、模塑材料及粘合剂等。固化物具有F级以上的耐热性和电绝缘性。本品也可用作双氰胺和有机酸酐的促进剂。

国外生产厂

随便看

 

文网收录3541549条中英文词条,其功能与新华字典、现代汉语词典、牛津高阶英汉词典等各类中英文词典类似,基本涵盖了全部常用中英文字词句的读音、释义及用法,是语言学习和写作的有利工具。

 

Copyright © 2004-2024 Ctoth.com All Rights Reserved
京ICP备2021023879号 更新时间:2025/10/18 19:23:07