网站首页  词典首页

请输入您要查询的字词:

 

字词 2,4,6-三(二甲胺基甲基)苯酚的三-2-乙基己酸盐
类别 中英文字词句释义及详细解析
释义

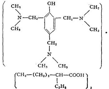
2,4,6-三(二甲胺基甲基)苯酚的三-2-乙基己酸盐


【结构式】:

【释文】:

性质 琥珀色油状液体。相对密度0.966~0.976。粘度5.0~7.5泊(25℃)。

用途 本品可作为环氧树脂的固化剂。粘度较高,活性较小,但使用寿命长,反应发热低,主要用于小型或中型浇铸制品,湿式层压品和耐热80℃的电气零件。一般用量10~14份。固化条件:100℃/1小时,80℃/2小时,65℃/4小时。本品在室温下的使用寿命约3~6小时。

毒性 本品毒性低,美国食品和药物管理局许可其用于接触食品的环氧树脂涂料。

国外商品名

随便看

 

文网收录3541549条中英文词条,其功能与新华字典、现代汉语词典、牛津高阶英汉词典等各类中英文词典类似,基本涵盖了全部常用中英文字词句的读音、释义及用法,是语言学习和写作的有利工具。

 

Copyright © 2004-2024 Ctoth.com All Rights Reserved
京ICP备2021023879号 更新时间:2025/10/17 22:18:54