网站首页  词典首页

请输入您要查询的字词:

 

字词 311甘油松香
类别 中英文字词句释义及详细解析
释义

311甘油松香


别名 松香甘油酯

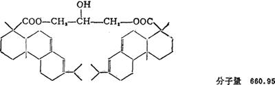
结构式

性能 淡黄~浅棕色透明玻璃状块,微有特殊香味。不溶于水、溶于植物油。

质量规格(参考)

用途 主要用于铅印油墨、誊写墨之中。

包装贮运 50kg编织袋、内衬塑料袋包装。贮运中要注意防雨淋,避高温,隔绝火源。库房要阴凉通风,勿与氧化剂共贮运。

国内生产厂 各树脂厂、油墨厂。

随便看

 

文网收录3541549条中英文词条,其功能与新华字典、现代汉语词典、牛津高阶英汉词典等各类中英文词典类似,基本涵盖了全部常用中英文字词句的读音、释义及用法,是语言学习和写作的有利工具。

 

Copyright © 2004-2024 Ctoth.com All Rights Reserved
京ICP备2021023879号 更新时间:2025/10/19 11:36:17