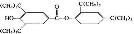
【结构式】:

【释文】:
性质 白色或浅黄色粉末。分子量438.6。熔点194~197℃。在溶剂中的溶解性见表3-22。
表3-22 3,5-二叔丁基-4-羟基苯甲酸2,4-二叔丁基苯酯的溶解度(g/100mL溶剂,20℃)

用途 本品为塑料用光稳定剂,在紫外线区域的最大吸收峰为265nm,适用于聚丙烯和聚乙烯,一般用量0.2~1%。此外,本品在聚甲醛、聚苯乙烯等塑料中也有较好的光稳定效果。本品挥发性低,热稳定性高,耐洗涤液抽出性好,对制品的着色性小。与苯并三唑类紫外线吸收剂和有机镍类光稳定剂并用有优良的协同效应,可进一步提高光稳定效果。
毒性 本品对大白鼠的经口LD50>5000mg/kg体重。
国外生产厂
