网站首页  词典首页

请输入您要查询的字词:

 

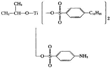
字词 4-氨基苯磺酰基二(十二烷基苯磺酰基)钛酸异丙酯
类别 中英文字词句释义及详细解析
释义

4-氨基苯磺酰基二(十二烷基苯磺酰基)钛酸异丙酯


【结构式】:

【释文】:

用途 本品为单烷氧基钛酸酯偶联剂,具有良好的热稳定性。适用于软质聚氯乙烯、聚酰胺-酰亚胺、聚碳酸酯、酚醛树脂、合成橡胶等聚合物填充体系,有交联效果,制品的抗冲击性、热稳定性及模量高。

毒性 本品对大白鼠的经口LD50为5g/kg体重,对家兔的皮肤有严重刺激。

国外生产厂

随便看

 

文网收录3541549条中英文词条,其功能与新华字典、现代汉语词典、牛津高阶英汉词典等各类中英文词典类似,基本涵盖了全部常用中英文字词句的读音、释义及用法,是语言学习和写作的有利工具。

 

Copyright © 2004-2024 Ctoth.com All Rights Reserved
京ICP备2021023879号 更新时间:2025/10/18 22:51:45