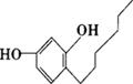
化学名:2,4-二羟基己基苯
结构式

分子式:C12H18O2
相对分子质量:194.28
一、4-己基间苯二酚的鉴别
1.溶解度
易溶于乙醚和丙酮,难溶于水。
2.硝酸试验
取本品1.0mL饱和液,加硝酸1mL出现亮红色。
3.溴试验
取本品饱和液1.0mL,加溴试剂1mL,产生黄色荧光沉淀。加氨试液2mL,黄色沉淀溶解,溶液为黄色。
二、4-己基间苯二酚的定量
1.指示剂的制备
取可溶性淀粉1g,碘化汞10mg和适量冷水,混合成薄糊状。加沸水200mL,在连续搅拌下煮沸1min,冷却,用其透明溶液供试。
2.测定方法
准确称取预先用硅胶干燥4h后的试样70~100mg,移入一250mL碘量瓶,加甲醇10mL溶解试样。加溴一溴化物试液[取冰醋酸300mL,用干燥溴化钾饱和(约5g),加入溴1mL]30.0mL,然后迅速加入盐酸5mL,立即加塞。在流水下将碘量瓶冷至室温,剧烈摇动5min,静置5min。沿玻塞四周加碘化钾试液(取碘化钾KI16.5g,溶于水,定容至100mL)6mL,小心地缓缓松开塞子,使碘化钾液流入后再塞紧,缓缓摇动。加氯仿1mL,用0.1mol/LNa2S2O3滴定释出的碘,临将终点时,加上述指示剂溶液3mL。同时进行空白滴定。
3.分析结果的表述

式中 V——空白滴定时所耗0.1mol/L硫代硫酸钠的体积,mL
V1——滴定试样时所耗0.1mol/L硫代硫酸钠的体积,mL
m——试样质量,mg