〔名称〕PO型合成鞣剂;DLT-1号合成鞣剂
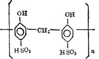
〔结构式〕

〔质量规格〕

〔性质〕
1.外观为淡红色粘稠液体,易溶于水,属混合型鞣剂。
2.具有溶解栲胶,减少沉淀和加速渗透的作用。
100克/升浓度的橡椀栲胶溶液加入20%DLT-1号合成鞣剂鞣液变化如下:

〔制备方法〕

〔用途〕
1.重革结合鞣。
例:猪底革鞣制工艺
预鞣:
用皮重 4%DLT-1号,旧鞣液相对密度为1.008(8°BKr)、pH4.5~6.0,4小时。
池、鼓鞣:
栲胶:DLT-1号为8∶2,配成11~80°BKr的鞣液。pH值3~3.2。
以后进行退鞣,加脂、整理。
2.用于毛皮鞣制。
例:DLT-1号--铬结合鞣绵羊皮鞣制。
液比 5
食盐 30g/l
硝 15g/l
DLT-1号 2g/l
亚硫酸氢钠 1.5g/l(100%计)
纯碱 1.4~1.8g/l
温度 30℃
pH值 3.5~4.0
时间 14~16小时
液比 5
食盐 30g/l
铬鞣液(Cr2O3计) 0.25g/l
pH值 3.3(投皮)3.5(出皮)
温度 38~47℃
时间 72小时
〔贮运使用注意事项〕
存放于阴凉处,避免高热和日光曝晒。
〔生产单位〕
丹东市轻化工研究所。