〔名称〕RT重革速鞣剂;DLT-5号合成鞣剂
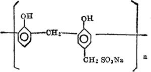
〔结构式〕

〔质量规格〕

〔性质〕
1.外观为淡黄色粘稠状液体,易溶于水,属混合型鞣剂。
2.具有溶解栲胶,加速栲胶渗透的作用。
3.收敛性温和,是性能较好的预鞣剂。
〔制备方法〕

〔用途〕
用于重革速鞣工艺作预鞣剂。
例 猪底革速鞣工艺
浸酸:
硫酸 1.8%
食盐 80%
液比 1
温度 常温
时间 5小时
预鞣:
DLT-5号 10%
温度 25~30℃
时间 转5小时,过夜
下转植鞣、退鞣工艺。
〔贮运使用注意事项〕
应存放于阴凉库房内,防止曝晒、避免与铁器接触。
〔生产单位〕
丹东市皮革化工厂。