网站首页  词典首页

请输入您要查询的字词:

 

字词 D-异抗坏血酸钠
类别 中英文字词句释义及详细解析
释义

D-异抗坏血酸钠


化学名:D-2,3,5,6-四羟基-2-己烯酸-γ-内酯钠盐

结构式

分子式:C6H7NaO6·H2O

相对分子质量:216.12

一、D-异抗坏血酸钠的鉴别

1.试剂和溶液

1.1 盐酸 0.1mol/L溶液。

1.2 氢氧化钠 0.1mol/L溶液。

2.操作步骤

2.1 称取样品1g溶于50mL蒸馏水中,此溶液在25℃能慢慢地还原碱性酒石酸铜试剂,加热时反应加速。

2.2 称取样品1g溶于50mL蒸馏水中,取2mL用0.1mol/LHCl溶液酸化,加入1小滴亚硝基氰铁化钠试剂,再加1mL0.1mol/LNaOH溶液,短暂的蓝颜色立即产生。

2.3 钠试验阳性。

二、D-异抗坏血酸钠的定量(碘量法)

1.试剂和溶液

1.1 碘液 0.1mol/LI2标准溶液,按GB601配制与标定。

1.2 硫酸 10%溶液,10mL浓硫酸加90mL蒸馏水配制成。

1.3 可溶性淀粉1%指示液。

2.测定方法

准确称取样品约300mg,加新煮沸过的冷蒸馏水100mL和10%硫酸25mL,使其溶解,立即用0.1mol/LI2标准溶液滴定,接近终点时加入1%淀粉指示剂1mL,继续滴定至溶液呈蓝色,30s内不退色为止,记下碘标准溶液消耗的毫升数。

3.分析结果的表述

D-异抗坏血酸钠(含1分子水)含量x的计算:

式中 V——滴定消耗0.1mol/L碘标准溶液,mL

10.81——1mL0.1mol/LI2标准溶液相当于10.81mgD-异抗坏血酸钠(含1分子水)

三、食品中D-异抗坏血酸钠的含量测定

1.试剂和溶液

1.1 乙腈 色谱纯。

1.2 偏磷酸 优级纯。

1.3 4%偏磷酸溶液 取偏磷酸40g,加水溶解成1000mL,如产生不溶物,需过滤,放冷处保存。

1.4 2%偏磷酸溶液 取偏磷酸20g,加水溶解成1000mL,如产生不溶物,需过滤,放冷处保存。

1.5 标准液的制备 准确称取异抗坏血酸钠10mg,放入100mL棕色容量瓶中,用2%偏磷酸溶液溶解并加至刻度,作为标准液(此液1mL相当于异抗坏血酸钠100μg)。准确吸取标准液1mL、2mL、3mL,分别加入10mL棕色容量瓶中,并用2%偏磷酸溶液稀释至刻度。此液作为标准曲线用标准液(此液分别相当于异抗坏血酸钠10μg/mL、20μg/mL、30μg/mL)。

2.测定方法

2.1 液体和半固体食品 一般准确称取相当于1~5mg异抗坏血酸的样品20g以下,放入100mL棕色容量瓶中,再加入等量的4%偏磷酸溶液,然后加2%偏磷酸溶液至刻度。用0.45μm滤膜过滤器过滤,将此液作为样品溶液。

2.2 粉状和固体食品 一般准确称取相当于1~5mg异抗坏血酸的样品10g以下,放入100mL棕色容量瓶中,加入等体积的4%偏磷酸溶液,再加入60mL2%偏磷酸溶液成悬浊液。然后用超声波振荡提取15min,用No.5C滤纸过滤,用100mL棕色容量瓶接收滤液。容器和残渣用10mL2%偏磷酸溶液分两次冲洗,洗液与滤液合并,再加2%偏磷酸溶液至刻度。此液用0.45μm滤膜过滤器过滤,滤液作为样品溶液。

3.测定方法

3.1 测定条件 应用具有紫外分光检测器的高压液相色谱仪,按下述条件进行测定。

填充剂:化学结合型硅胶。

色谱柱:内径约为4.6mm,长约250mm

柱温:50℃

洗脱液:乙腈·水·乙酸(83:15:2)

流速:3.0mL/min

测定波长:254nm

注入量:15μL

3.2 标准曲线 分别吸取15μL标准曲线用标准液,注入高压液相色谱仪中。用所测得的峰高,绘制成标准曲线。

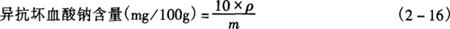
4.分析结果的表述

准确吸取15μL样品溶液,注入高压液相色谱仪中。所测得峰高,从标准曲线上求出样品溶液中异抗坏血酸钠的浓度(μg/mL),然后按式(2-16)计算样品中异抗坏血酸钠的含量(mg/100g)。

式中 ρ——样品溶液的浓度,μg/mL

m——取样量,g

随便看

 

文网收录3541549条中英文词条,其功能与新华字典、现代汉语词典、牛津高阶英汉词典等各类中英文词典类似,基本涵盖了全部常用中英文字词句的读音、释义及用法,是语言学习和写作的有利工具。

 

Copyright © 2004-2024 Ctoth.com All Rights Reserved
京ICP备2021023879号 更新时间:2026/1/16 18:09:38