别名 604环氧树脂
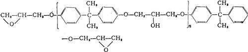
结构式

性能 是中分子量双酚A型环氧树脂。能溶于酮类、醚类、二甲苯、甲乙酮等多种有机溶剂中,对金属、玻璃等材料附着力强,成膜固化后,具有优异的耐化学性和电绝缘性。
质量规格 HG2-741-72

用途 可用作防腐蚀涂料、绝缘漆。油墨中主要用于印铁罩光油、热固性油墨的制造中。
包装贮运 编织袋内衬塑料袋包装,25kg/袋。要存放于阴凉、通风、干燥之库房内,防雨淋。运输、贮存中,要注意远离火源、热源。
国内生产厂 上海树脂厂、上海新华树脂厂、湖南岳阳化工总厂、化工部晨光化工研究院二分厂、江苏无锡树脂厂、陕西西安树脂厂。