网站首页  词典首页

请输入您要查询的字词:

 

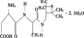
字词 L-α-天门冬氨酸-N-(2,2,4,4-四甲基-3-硫化三亚甲基)-D-丙胺酰胺(阿力甜)
类别 中英文字词句释义及详细解析
释义

L-α-天门冬氨酸-N-(2,2,4,4-四甲基-3-硫化三亚甲基)-D-丙胺酰胺(阿力甜)


结构式:

分子式:C14H25N3O4S·2.5H2O

相对分子质量:376.5

一、阿力甜的鉴别

1.试剂和溶液

1.1 茚三酮。

1.2 正丁醇。

1.3 冰乙酸。

1.4 0.001mol/L(KMnO4)溶液。

2.操作步骤

2.1 取5mL0.3%茚三酮-正丁醇溶液及2mL冰乙酸,加10mg样品,加热,产生深蓝紫色。

2.2 取5mL(新配制)0.001mo1/L(KMnO4)溶液,加10mg样品混合,溶液由紫色变棕色。

二、阿力甜的含量测定

1.原理

阿力甜,它的β-异构体和丙氨酸酰胺,可用反相离子对HPLC检测,用外标法对比。

2.试剂和溶液

2.1 乙腈 色谱纯。

2.2 磷酸二氢钠。

2.3 l-辛磺酸钠(1-Octanesulfonic Acid Sodium Salt)。

2.4 磷酸。

2.5 阿力甜标准品。

2.6 β-异构体标准品。

2.7 丙氨酸酰胺标准品。

2.8 标准溶液 准确称取β-异构体和丙氨酸酰胺各25mg,移至500mL容量瓶中,用50mL甲醇助溶,用蒸馏水稀释至刻度,此液为贮备液A1,贮存于冰箱。

取15mL储备液A1移入50mL容量瓶,用水稀释至刻度,此液为储备液A2。

精确称50mg阿力甜标准品,移入10mL容量瓶,加5mL储备液A2,有水稀释至刻度,此液为工作标准液W1。取5mLW1用蒸馏水稀释至50mL,此液为工作标准液W2。

3.测定方法

3.1 HPLC参考条件。

流速:1mL/min;

样品量100μL;

检测波长:217nm;

检测灵敏度:0.01AUFS;

积分仪衰减:64;纸速:0.5cm/min;

出峰时间:20min。

3.2 样品测定 精确称取50mg阿力甜样品,移至10mL容量瓶,用水溶解稀释至刻度,标记为S1,吸取5mLS1用水稀释至50mL,标记为S2

开机后,待柱平衡后,取溶液W1进样3次,计算β-异构体和丙氨酸酰胺平均峰面积。取标准液W2进样3次,计算阿力甜平均峰面积。

取阿力甜样品S1溶液,进样3次,计算β-异构体和丙氨酸酰胺平均峰面积;取阿力甜样品S2溶液,进样3次,计算阿力甜的平均峰面积。

4.分析结果的表述

按式(11-16)计算样品中阿力甜质量分数(w)及其杂质含量。

式中 mstd——校正水分含量的参比标准品质量

Pstd——参比标准品的纯度(100.00-不纯物总量)

Rstd——标准液中分析峰的响应值

msmp——水分含量校正后样品质量

Rsmp——样品液中分析峰的响应值

D.F.——稀释因子

计算β-异构体和丙氨酸酰胺质量分数(w)公式如下:

式中 mstd——参比标准质量(未校正水分)

msmp——样品质量(未校正水分)

Pstd,Rstd和Rsmp——定义同上

D.F.——稀释因子

表11-1

注:典型峰保留时间。

随便看

 

文网收录3541549条中英文词条,其功能与新华字典、现代汉语词典、牛津高阶英汉词典等各类中英文词典类似,基本涵盖了全部常用中英文字词句的读音、释义及用法,是语言学习和写作的有利工具。

 

Copyright © 2004-2024 Ctoth.com All Rights Reserved
京ICP备2021023879号 更新时间:2025/10/18 19:14:51