别名 维生素BT-L-酒石酸
编码 GB 16.000
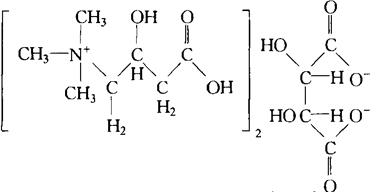
化学结构

C18H36N2O12 相对分子质量 472.49
性状 为白色结晶性粉末,易溶于水(50g溶于100mL水中),熔点169~175℃,比旋光度〔α〕
为-11.0°±1.0°(10%水溶液)。
制法 由L-肉碱与L-酒石酸反应制取。
质量标准

注:本标准适用于微生物生产L-肉碱工艺。
鉴别方法
1.旋光度〔α〕
为-11.0°±1.0°(10%水溶液)。
2.红外吸收光谱 与标准品一致。
毒理学依据
1.LD50 大小鼠口服大于10g/kg。
2.致突变试验 微核试验、睾丸染色体畸变试验,均为阴性。
3.大鼠90d喂养试验 最大无作用剂量为20000mg/kg。
注:以上三项为卫生部食品卫生监督检验所报告。
4.GRAS FDA(1993年5月13日)。
5.美国专家评审委员会评定L-肉碱及其盐类作为营养补充剂,以每日每公斤体重20mg的剂量供成人服用是安全的。超过此剂量时,可能引起胃肠道不适(1993年3月24日)。
6.瑞士联邦局卫生部规定L-肉碱以食品添加剂的方式允许使用,口服最高限量为600mg(1990年9月14日)。
使用 营养补充剂。
1.使用注意事项
(1)L-肉碱具有生物活性,而D-肉碱(右旋体)、DL-(消旋体)无生物活性,并可抑制L-肉碱(左旋体)的生物活性。为此,美国FDA的管理手册(1984年10月11日)规定:右旋肉碱和消旋肉碱不属于GRAS物质,并予取缔。
(2)L-肉碱是一种特定条件必需营养素。一些组织如心肌、骨骼肌等需要L-肉碱以进行正常的代谢,并依赖从其他组织转运L-肉碱来供应代谢的要求。此外,细胞需要L-肉碱来有效地促进脂肪代谢以提供能量。L-肉碱参与许多代谢过程包括:精子的成熟和活动;降低血浆胆固醇;提高人体的耐力;运动后快速恢复。
(3)L-肉碱极易吸潮,而L-肉碱-L-酒石酸吸湿性差,适用于配制固体制品、片剂、胶囊。应密闭保存,置于干燥处。
(4)L-肉碱-L-酒石酸盐换算为L-肉碱,系数为0.68。
2.使用范围及使用量 我国《食品添加剂使用卫生标准》(GB 2760-1996)规定:L-肉碱-L-酒石酸用于咀嚼片、饮液、胶囊,250~600mg/片、支、粒;乳粉,300~400mg/kg;果汁(味)型饮料、乳饮料,600~3000mg/kg(均以肉碱计)。