网站首页  词典首页

请输入您要查询的字词:

 

字词 L-赖氨酸盐酸盐
类别 中英文字词句释义及详细解析
释义

L-赖氨酸盐酸盐


化学名:2,6-Diaminohexanoic Acid Hydrochlori

别名:L-2,6二氨基己酸盐酸盐。

结构式:

分子式:COH14NO2·HCl

相对分子质量:182.65

一、L-赖氨酸盐酸盐的鉴别

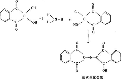
(1)取1%本品溶液5mL与0.2%水合茚三酮试液1mL,共热3min,应出现紫色。

(2)5%本品溶液呈现氯化物反应(见盐酸鉴别反应)。

二、食品中氨基酸的分析

(一)L-赖氨酸及L-赖氨酸盐酸盐测定

食品中几乎不存在天然游离的L-赖氨酸,因此测定结果仅是添加的L-赖氨酸。

1.试剂和溶液

1.1 乙醇99.5%(体积分数) 优级纯。

1.2 乙撑二醇甲基醚 分析纯。

1.3 盐酸35% 分析纯。

1.4 醋酸 分析纯。

1.5 醋酸钠·3H2O 分析纯。

1.6 柠檬酸·H2O 分析纯。

1.7 柠檬酸钠·2H2O 分析纯。

1.8 柠檬酸缓冲液(pH2.2) 称取19.6g柠檬酸钠·2H2O、16.5mL盐酸、正辛酸0.1mL、20mL硫代二乙二醇和4mLBRI.J-35溶液,加蒸馏水定容至1000mL。

1.9 柠檬酸缓冲液(pH5.28) 取柠檬酸钠·2H2O26.76g,柠檬酸·H2O6.1g,氯化钠4.5g,正辛酸0.1mL,BRIJ-35溶液4mL,苯甲醇5mL,用蒸馏水定容至1000mL。

1.10 三氯化钛 分析纯。

1.11 正辛酸 分析纯。

1.12 氯化钠 分析纯。

1.13 硫代二乙二醇 分析纯。

1.14 99.999%高纯氮。

1.15 茚三酮 分析纯。

1.16 茚三酮溶液 称醋酸钠·3H2O136g,冰醋酸25mL,加水溶解并定容至250mL,加乙撑二醇甲基醚750mL,通氮气20min,加茚三酮20g,再通氮气15min,使茚三酮完全溶解,然后加三氯化钛1.7mL,通氮气10min,使完全溶解,混合,用调压器调节压力到28kPa,保存。

1.17 苦味酸 优级纯。

1.18 BRIJ-35溶液。

1.19 苯甲醇 分析纯。

2.仪器

液相色谱氨基酸分析仪。

3.测定方法

3.1 测定条件。

填充剂:凝胶型强酸性阳离子交换树脂,平均粒径15.5μm,交联度10%;

柱和柱温:内径9mm,长100mm,55℃;

洗脱液:柠檬酸缓冲液(pH5.28),流速为0.6mL/min;

反应螺旋管:内径0.5mm,长20m;

反应槽温度:98℃;

茚满三酮流的流速:0.3mL/min;

进样量:500μL。

3.2 样液的制备。

3.2.1 水溶性食品 准确称取相对含L-赖氨酸50~100mg的样品,用水溶解,定容至200mL,作测定用。

取此液2mL,加苦味酸10mL,此时若产生悬浊液,则须除去蛋白质,若无悬浊液,则作测定液用。

除蛋白质的方法:准确取蛋白质液50mL,加乙醇150mL,产生沉淀,过滤,残留物用20mL乙醇洗3次,洗液与滤液合并,在50~60℃水浴中浓缩至40~45mL,加水定容至50mL,作样品溶液用。

3.2.2 蛋白质食品 准确取含L-赖氨酸50~100mg样品,放离心管中,按1g样品加5mL、100℃的水,在水浴上加热15min,冷后,冷冻离心分离(5000r/min,10min),取出离心液,残留物以最初加水量的2/3的量加入100℃的水,按同样操作重复3次,合并离心液,加水定容至200mL时,需减压浓缩至180~190mL,再定容至200mL,必要时过滤,作样液用。

样液约2mL中加苦味酸溶液10mL,产生悬浊液时,按水溶性食品中除蛋白质的方法除去,作样液用。不含悬浊液时,直接作样液用。

3.2.3 油脂食品 一般按蛋白质食品同样操作,制备样品液。然而,在离心分离时,要将分离液的油层和水层分开,当分离液乳浊显着时,进行脱脂后作样液用。

脱脂方法:将离心液定量移入分液漏斗,加入乙醚或己醚:正己烷(2∶1)混合液50mL,重复脱脂2次,取水层,在水浴上加热除去乙醚或正己烷,加水定容至200mL,必要时过滤。

准确取样液10mL,加盐酸溶液调至pH2.2,准确加柠檬酸缓冲液(pH2.2)使成100mL,作测定用。

3.3 标准液的制备 准确称取L-赖氨酸124.9mg,加水溶解,定容至100mL。取此液2mL,用柠檬酸缓冲液(pH2.2)定容至100mL作标准液用,此液1mL含L-赖氨酸20μg。

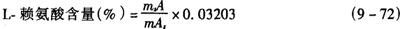
4.分析结果的表述

在波长570nm测吸光度,以样液谱图和标准液谱图的面积比来计算。

式中 ms——标准L-赖氨酸盐酸盐的量,mg

m——样品质量,g

As——测定液所得谱图的L-赖氨酸峰面积

L-赖氨酸盐酸盐含量(%)=L-赖氨酸含量(%)×1.249

(二)同时测定18种氨基酸

20多种氨基酸中,有部分是入体不能合成或是合成量不能满足代谢需要的氨基酸,必须从食物补给,称为必需氨基酸(赖氨酸、色氨酸、苯丙氨酸、苏氨酸、蛋氨酸、异亮氨酸、亮氨酸及缬氨酸)。因此测定其含量及之间比例十分重要。

1.原理

所用的离子交换树脂一般为Na+型的(用X-SO3Na+表示),氨基酸离子(用+H3NCHROOH来表示)和强酸性活性基团(-SO3)之间相互作用。由于氨基酸为两性集团,在酸性条件下,显+HN-CHRCOOH状态,被树脂表面活性集团()吸附,分段增加洗脱液的pH,能使氨基酸洗脱出来,酸性氨基酸与活性集团的亲和力最弱,最先被洗脱出来。其次是羟基氨基酸和中性氨基酸,最后是碱性氨基酸。

氨基酸经分离从柱中流出后与茚三酮溶液混合,反应液通过反应槽而被加热产生蓝紫色物质,用于比色测定,α-氨基酸最大吸收峰在波长570nm,而二级胺(脯与羟脯)产生黄色化合物,最大吸收峰在波长400nm以下,一般茚三酮在400nm以下有吸收,所以比色时通常波长在440nm,用分光光度检测器测定与标准比较定量。

另外,也可使氨基酸从分离柱流出后与OPA(邻-苯二甲醛试剂混合,常温下,在乙硫醇或β-巯基乙醇参与下,生成荧光衍生物,用波长338nm作激发,在波长425nm发射,荧光强度与标准物质对照定量,此法只能测一级胺;二级胺需用氧化剂氧化后,使环打开,成为一级胺,再与OPA生成衍生物测定。反应式如下:

2.试剂

2.1 缓冲溶液A 二水柠檬酸三钠19.6g,苯酚1g,用硝酸及水把总体积调至1L,pH为3.10,过滤(0.45μm),并充氮。

2.2 缓冲溶液B 硼酸1.5g,硝酸钠21.0g,用水及6mol/LNaOH,调至总体积为1L,pH为9.60,过滤(0.45μm),并充氮。

2.3 0.5mol/L硼酸钾保存液 取123.6g硼酸及105g氢氧化钾溶解在3.5L水中,再用氢氧化钾溶液调节pH至10.4,定容至4L,过0.45μm膜。

2.4 6mol/LHCl溶液。

2.5 茚三酮溶液:同本节(一)1.16。

3.仪器

氨基酸分析仪。

4.测定方法

4.1 盐酸水解法 组成蛋白质的20多种氨基酸以共价键(肽键)相连,样品处理的最终要求是将各肽键断开,释放出游离氨基酸,然后进行测定。

4.1.1 一般食物的盐酸水解:

4.1.1.1 称取一定量样品放入带密封垫的螺丝试管,使样品蛋白质含量在10~20mg。

4.1.1.2 固体样品加6mol/LHCl溶液15mL;液体样品加入等体积的浓盐酸。

4.1.1.3 加入新蒸馏的酚2~3滴。

4.1.1.4 充氮并紧盖试管。

4.1.1.5 将试管置110℃烘箱24h。

4.1.1.6 取出试管,用冷水冷却后,打开管盖,加入10mLAABA(内标氨基酸,2.5mm)。

4.1.1.7 将水解液移入25mL容量瓶中,用水淋洗试管,定容。

4.1.1.8 过0.45μm膜,取滤液1mL,待测定用。

4.1.2 高脂肪食品的盐酸水解:除去脂肪,再进行常规的蛋白质水解,减少测定的干扰。

4.1.2.1 将样品5g加100mL丙酮:氯仿(3:1)搅匀,在室温下用超声波振荡1h。

4.1.2.2 用滤纸过滤,固体部分吹干,称量,按上次进行水解。

4.2 半胱氨酸及蛋氨酸的样品处理。

4.2.1 原理:用盐酸水解蛋白的过程中,半胱氨酸及蛋氨酸易被破坏,用过甲酸将蛋白中的半胱氨酸(胱氨酸)及蛋氨酸分别氧化成半胱磺酸及蛋氨酸砜再进行测定。

4.2.2 过甲酸的制备:1体积30%过氧化氢溶液与9体积的88%甲酸混合,放置1h,其间摇匀,放冰浴中30min,立即使用。

4.2.3 方法:

4.2.3.1 称取一定量样品到水解管中,使样品蛋白质含量为10~20mg。

4.2.3.2 置样品为冰浴中30min。

4.2.3.3 加入10mL冷的过甲酸溶液,摇匀,旋紧管盖。

4.2.3.4 置冰浴中(0℃)16h。

4.2.3.5 加入3滴辛醇,慢慢加入48%冷的氢溴酸3mL,不断摇匀,保持0℃30min。

4.2.3.6 减压蒸干。

4.2.3.7 如前法进行盐酸水解。

4.3 色氨酸碱水解法。

4.3.1 原理:蛋白在4.2mol/LNaOH溶液水解,调节pH后,利用离子交换法或反相色谱法分离,并以紫外或荧光检测。

4.3.2 试剂和溶液步骤如下:

4.3.2.1 4.2mol/LNaOH溶液,吹氮气10min除去溶解在溶液中的氧气。

4.3.2.2 盐酸 分析纯。

4.3.2.3 1-辛醇 分析纯。

4.3.3 方法:称取一定量样品在水解管中,样品蛋白质含量在10mg左右,加10mL4.2mol/LNaOH溶液,3滴1-辛醇;充氮,盖紧管盖,于110℃,水解20h,冷却,用盐酸中和,稀释至50mL,上机。

4.4 色氨酸的甲磺酸水解法 称取一定量样品到水解管中,使样品含蛋白量在5~10mg,加入200μL4mol/L甲磺酸,1mL蒸馏水,充氮,盖紧盖,于110℃、24h。取出,用冷水冷却后,加入220μL4mol/LKOH溶液中和;加入1mLAABA(2.5μm)为内标,将水解液移入10mL容量瓶中,用蒸馏水淋洗试管并定容。取出1mL样品液,过0.45μm膜,滤液测定用。

4.5 测定 氨基酸自动分析仪开机稳定后,样品液及标准液可上机检测。根据样品峰高与标准比较计算。

随便看

 

文网收录3541549条中英文词条,其功能与新华字典、现代汉语词典、牛津高阶英汉词典等各类中英文词典类似,基本涵盖了全部常用中英文字词句的读音、释义及用法,是语言学习和写作的有利工具。

 

Copyright © 2004-2024 Ctoth.com All Rights Reserved
京ICP备2021023879号 更新时间:2025/10/17 16:07:37