别名 浓馥香兰素
编码 GB I1116;FEMA 2922
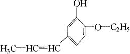
化学结构

C11H14O2 相对分子质量 178.23
性状 白色粉末晶体,熔点85~86℃,在真空下加热升华。其溶解度为:乙醇10%;丙二醇4%;苯甲醇20%。微溶于水,溶于多数精油。
制法 由1-乙氧基-2-甲氧基-4-丙烯基苯在乙醇或甲醇溶液中,于150~190℃在加压情况下,通过碱性水解作用制取,或者在乙二醇溶液中,于150~190℃,在常压下制备。
质量标准

鉴别方法 香气鉴定。
毒理学依据
GRAS FEMA 2922。
使用
使用范围及使用量
(1)我国《食品添加剂使用卫生标准》(GB 2760-1996)规定:可按生产需要适量用于配制各种食品香精。
(2)FEMA规定:最高参考用量为软饮料,5.9mg/kg;冰淇淋、冰制食品,6.3mg/kg;糖果,20mg/kg;焙烤食品,20mg/kg;胶冻及布丁,2.5mg/kg。
(3)实际使用参考:本品的香味浓度比香兰素约高15~16倍。可与香兰素、乙基香兰素同用于香荚兰香精中,使用的比例一般控制在香兰素和乙基香兰素重量的4%~5%为宜。可增强香荚兰的特征香味。也可以用于其它香型的香精,如巧克力、枫槭、坚果、朗姆、焦糖等香精。它在极低浓度时可以作为一个增添甜香的香料。