网站首页  词典首页

请输入您要查询的字词:

 

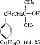
字词 二甲基苯乙基原醇
类别 中英文字词句释义及详细解析
释义

二甲基苯乙基原醇


由丙酮和氯化苯乙基镁通过格林尼亚反应来合成。

性质 无色至微黄液体,具有松油醇样花香;相对密度0.97,沸点238℃。

用途 用于花香型香精中作定香剂,主要是它的乙酸酯在调配日化香精中较有用。

随便看

 

文网收录3541549条中英文词条,其功能与新华字典、现代汉语词典、牛津高阶英汉词典等各类中英文词典类似,基本涵盖了全部常用中英文字词句的读音、释义及用法,是语言学习和写作的有利工具。

 

Copyright © 2004-2024 Ctoth.com All Rights Reserved
京ICP备2021023879号 更新时间:2025/10/16 11:47:31