网站首页  词典首页

请输入您要查询的字词:

 

字词 充电法
类别 中英文字词句释义及详细解析
释义

充电法


10.2.1 基本原理

充电法(Excitation-at-the-Mass Method)以不同岩性的电性差异为基础,研究对象是相对围岩为良导体或导电性较好的地质体。

实际工作中,在钻井、槽探、坑道等人工揭露或天然露头上接一供电电极(A),另一供电电极(B)置于远离充电体的地方,然后向AB线路里供电,这时充电体为一等位体或似等位体,电流由充电体流入围岩,形成稳定电流场,该电场的分布特征与充电体的形态、大小和产状等因素有关。在地面、坑道或钻井中观测充电电场,研究其分布特征,查明充电体的空间分布形态、产状、延伸等,从而为解决诸如地下水流速、流向、渗漏通道、滑坡位移等地质灾害提供依据。

10.2.2 观测方法

充电法主要有两种观测方法,即电位观测法和梯度观测法。

电位观测法是将一个测量电极N置于远离测区可视为无穷远处,另一测量电极M沿测线逐点移动,观测相对于N极的电位值△U;同时观测供电电流强度I。观测结果用规一化值△U/I表示。

电位梯度观测法是使M、N测量电极保持一定距离(通常等于1~2个测点距),沿测线同时移动,逐点进行电位差△U和供电电流I的观测。结果用(△U/I)·MN表示,记录点为MN之中点。

10.2.3 技术要求

(1)测区范围要使异常场能在较完整的正常场背景上显示出来,测浅长度应为勘探对象长度的2~4倍;

(2)测量电极最好用不极化电极,电极间极化电位差不得大于±2mV;

(3)测线布置应垂直勘探体走向,当勘查体与围岩电阻率差异不大时,还应设计一定数量的斜交剖面;

(4)采用电位测量方式时,无穷远处电极至测线中心的距离应大于测线长度的2倍以上;

(5)在进行普查时,预计的异常范围内至少要有一条测线穿过异常,异常范围内测点不得少于3个;在详查时要求有3~5条测线穿过异常带,在异常范围内测点不少于5个。在井下或坑道工作时,比例尺一般为1:500~1:1000,点距为2.5~5m;

(6)为确保成果质量,系统检查工作量一般应为测区总工作量的3%~5%,不能确定观测精度时,允许增加检查工作量,但增加至20%时仍然证明观测质量不符合要求时,则受检范围内的工作量应予以报废。观测工作总精度以均方相对误差衡量,其分级及误差要求见表10-3。

表10-3 充电法质量分级及误差表

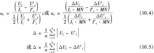
系统检查观测结果应按下式计算均方相对误差,并应满足设计要求:

式中:Ii为第i点原始观测电流值;I′i为第i点检查观测电流值;Ui为第i点原始观测电位值;U′i为第i点检查观测电位值;△Ui为第i点原始观测电位梯度值;△U′i为第i点检查观测电位梯度值;ui为第i点检查点相对误差;△为平均绝对误差;n为参加统计检查计算的点数;MN为梯度观测时测量电极距。

各检查点的相对误差ui的半值分布应满足如下要求:①超过实测精度的测点数应不大于受检点总数的32%;②超过两倍实测精度的测点数不大于受检点总数的5%;③超过三倍实测精度的测点数不大于受检点总数的1%。

10.2.4 成果表达形式

(1)梯度测量的剖面平面图及纵向梯度平面图;

(2)电位测量的剖面平面图及等位线平面图;

(3)典型剖面上的综合剖面图;

(4)地质推断解释成果图。

10.2.5 资料解释原则

10.2.5.1 异常的定性解释

(1)正确区分正常场和异常场。均匀各向同性介质中点源场的电位和梯度曲线有如下特征: H=0.3q或H=0.7p

其中:q为电位曲线半极值间水平距离;p为梯度曲线两极值间水平距离;H为充电点深度。

充电点深度已知,从实测曲线量出p、q,依据上述公式,可区分正常场和异常场。

(2)单条剖面异常点不少于3个,并且剖面平面图中异常有规律可循。在充电体地表投影范围内,各剖面横向梯度的两极值点之间距离变化较小,其强度也大致相同,而在充电体两端之外电位梯度的两极值点间距离迅速增大,强度迅速下降,点源场则不具备上述稳定部分。

(3)从等位线分布特征来看,异常体在地表投影部分电位变化较慢,而在异常体边缘电位急剧变化,可根据等位线梯度变化密集程度确定异常源。

10.2.5.2 异常的定量解释

定量解释的方法主要有特征点法、数值模拟法和物理模拟法等。解释的目标体与围岩电阻率都应较均匀,几何形态近似为规则体(球、柱、板状等),各种干扰因素影响较小,并有足够的已知参数资料。应正确选择解释剖面,所选的典型剖面异常应满足定量解释异常的条件,地质条件比较清楚。

10.2.5.3 地质推断解释

推断解释时,还应识别各种干扰因素,如天然场源的变化、地形起伏、各向异性以及覆盖层不均匀等导致电场畸变形成的假异常。

10.2.6 仪器设备

充电法仪器设备见表10-2。

【参考文献】:

长春地质学院水文物编写组.1980.水文地质工程地质物探教程,北京:地质出版社

傅良魁.1983.电法勘探教程,北京:地质出版社

[美]I.S萨姆纳若.1981.地理物勘探的激发极化原理,北京:地质出版社

高等工业学校物理学编写组编.1957.物理学,北京:高等教育出版社(内)

李金铭,罗延钟.1996.电法勘探新进展,北京:地质出版社

煤田电法勘探.1978.北京:煤炭工业出版社

西安地质学院等.1979.电法勘探,北京:地质出版社

阎述,陈明生编着1996.高分辨率地电阻率法探测地下洞体,北京:地质出版社

随便看

 

文网收录3541549条中英文词条,其功能与新华字典、现代汉语词典、牛津高阶英汉词典等各类中英文词典类似,基本涵盖了全部常用中英文字词句的读音、释义及用法,是语言学习和写作的有利工具。

 

Copyright © 2004-2024 Ctoth.com All Rights Reserved
京ICP备2021023879号 更新时间:2025/12/4 18:51:27