(一)管材液压试验方法
管材液压试验,详见SG78-74。
塑料管件在输送流体时受到液体压力的作用,对管件承受内压的能力常采用液压试验来测定。实验方法如下:从三根试样管材中各截取一段试样,其长度为外径的3倍,但最短为250mm,最长为1000mm。变软后,套于液压试验装置上,如图10-3-14所示。

图10-3-14 液压试验装置
1-紧固螺栓 2-试样 3-法兰 4-密封塞头 5-排气孔 6-接压力机头
液压机注满一定温度的油,放置一段时间后,逐渐升压直至试样出现破裂或渗漏现象时为止,记录此时的液体压力作为试样破裂内压力(kgf/cm2)。
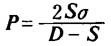
在生产中作为质量控制的检验,是在规定的温度、液压下保持1h。以是否出现破裂渗漏现象来评定产品,不出现破裂渗漏者为合格,液压由下式计算。

式中 P——液体压力(kgf/cm2)
D——试样外径(cm)
S——试样管壁厚(cm)
σ——管材的允许应力(kgf/cm2)
硬质聚氯乙烯管材20℃时的允许应力为300kgf/cm2,其它温度(t)〔0~40℃〕的允许应力(σt)按下式计算:
σt=350-6.25(t-20)
(二)管材扁平试验方法
将50mm长的试样管水平放置于试验机的两平行压板之间,施加压缩负荷,直至压缩到管外径的二分之一时为止。观察试样,无破裂现象者为合格,否则为不合格。