使用“σ”法时,判断规则如下:
(1)给定上规格限时,计算统计量

若Qu≥K,批接收;若Qu<K,批拒收。
(2)给定下规格限时,计算统计量

若QL≥K,批接收;若QL<K,批拒收。
(3)给定双侧规格限时,计算统计量

若Qu≥K,且QL≥K,批接收;Qu<K或QL<K,批拒收。
使用“S”法时,判断规则与使用“σ”法时基本相同,但应

例:设某产品的质量特征值要求双侧规格,上限U=67,下限L=58,已知σ=1.3,又规定P0=5.00(%),P1=16.00(%),求抽样方案。
解:(1)已知U=67,L=58,σ=1.3,P0=5.00(%),P1=16.00(%)
(2)检验上述条件是否符合本标准的约束条件。由于U1-P0=1.64485,U1-P1=0.99446,U1-0.2P0=2.32635所以
2.89U1-P0-0.89U1-P1=3.860,2U1-0.2P0=4.653

6.923>3.860且6.923>4.653
故本例符合双侧规格限的约束条件。
(3)由P0、P1值查GB8053-87表1(见附表8-15)得抽样方案:(n;k)=(20;1.28)


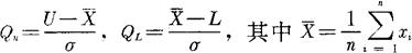
(4)判断。从批中抽取20个单位产品,计算
及
,
,若Qu≥1.28且QL≥1.28,批接收;若Qu<1.28或QL<1.28,批拒收。