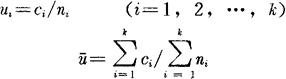
简称u-图。它是用于判断或监控生产过程的单位产品缺陷数是否处于或保持标准所要求的水平。u-图主要用于质量指标为计点(如疵点、缺陷点、某细菌个数等)的场合。其作法是:抽取k个(k≥25)样本,要使每个样本平均至少有一个缺陷点。设第i个样本容量为ni,内含缺陷数为ci,则单位缺陷数及其均值的标准计算公式是:

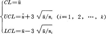
则u-图的3条线的计算公式是:

显然,对于容量不同样本,两条控制界限都不同。
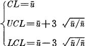
当
且
(
时,可以用近似公式计算:

但,这种图在点子靠近控制界限时,要用标准计算公式重新计算控制界限,看点子是否真的不出界。