(一)只依靠静水压头能量举卤时的自喷条件
当井中为单相液体流动时,这些液体将单纯依靠静水压头(位能)自喷。因此自喷条件为:

式中 H——井深(m)
γ——液体相对密度
P流——井底压力(MPa)
当卤井自喷稳定时,井底流动压力(P流)和井口油管压力(P油)之差,就是用来克服井中液柱压力和流动时的摩擦阻力。其流动规律,根据水力学可列出下式:

式中 P底——井底压力(MPa)
P油——油管压力(MPa)
H——井深(m)
λ——水力阻力系数,无因次,与雷诺数
有关
D——油管直径(m)
V——流体在油管中的流速(m/s)

Q——产液量(m3/s)
ρ——液体密度(kg/m3)
μ——液体粘度(MPa·s)
g——重力加速度
若用压头梯度(即水力坡度)表示,则可写为:

(二)有气体膨胀能量参与举卤时的自喷条件
当井内卤水有气体分出或混有自由气,即井底压力(P底)<饱和压力(P饱)时,此时充满油管的不是纯液柱而是混气液柱。井底压力能克服混气液柱的压力与沿程摩擦阻力之和,即可自喷。其自喷条件是:

式中
混——油管中混气液体的平均相对密度
在稳定自喷时:

式中 H摩——从井底到井口由于摩擦而损失的压头(以纯液柱高度表示)
油管平均单位长度上的总压头损失(即平均压头梯度)为:

式中 h摩——沿油管平均的单位长度上的摩擦阻力所消耗的压头(以纯液柱高度表示)
——沿油管平均的单位长度上混气液柱的压头(以纯液柱高度表示)
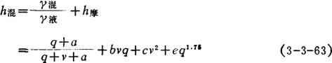
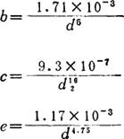
(三)单元管内,混气液体运动的经验方程式

式中 h混——沿油管单位长度上的总压头损失(以纯液柱高度表示)
单位长度油管中混气液柱的压头,其影响因素与气液性质、流量、管径等14个物理参数有关(以纯液柱高度表示)
h摩——单位长度油管中的摩擦损失(以液柱高度表示)
vq——为气体和液体的体积流量(m3)
α=0.785d2
