网站首页  词典首页

请输入您要查询的字词:

 

字词 反比例
类别 中英文字词句释义及详细解析
释义

反比例


①已知某体长重计算其他长重,按反比例关系,其计算公式为:

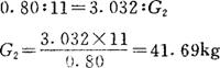
〔计算例〕 已知不等边角钢(60×40×5毫米),当L1=0.80米,G1=3.032千克,L2=11米时,求G2重量是多少?

验算:11×3.79=41.69kg

41.69÷11=3.79kg/m

②已知某物体的体积和重量,可计算其它体重,按反比例关系,其计算公式为:

V1∶V2=G1∶G2

〔计算例〕 已知脲醛泡沫塑料0.25米3,其重为3.75千克,求6米3重多少?

按上式求得

0.25∶6=3.75∶G2

验算:6×15=90kg

90÷6=15kg

随便看

 

文网收录3541549条中英文词条,其功能与新华字典、现代汉语词典、牛津高阶英汉词典等各类中英文词典类似,基本涵盖了全部常用中英文字词句的读音、释义及用法,是语言学习和写作的有利工具。

 

Copyright © 2004-2024 Ctoth.com All Rights Reserved
京ICP备2021023879号 更新时间:2025/10/18 21:11:56