网站首页  词典首页

请输入您要查询的字词:

 

字词 变压器
类别 中英文字词句释义及详细解析
释义

变压器


变压器是一种静止的电气设备。它能把某一数值的交变电压变换成频率相同而大小不同的交变电压。变压器除改变交变电压外,还可以改变交变电流(如电流互感器)、变换阻抗(如电子电路中的输入、输出变压器)以及改变相位(如脉冲变压器)等。变压器按电源相数可分为单相变压器和三相电力变压器。

1.单相变压器

(1)结构

单相变压器主要由一个闭合的软磁铁芯和两个套在铁芯上面而又相互绝缘的绕组所构成,如图7-1所示。

图7-1 变压器的基本结构及符号

1-原边绕组 2-铁芯 3-副边绕组

铁芯是变压器的磁路部分,为了减小涡流及磁滞损耗,铁芯多用厚度为0.35~0.5mm的硅钢片叠成。

绕组常称为线圈,是变压器的电路部分。与电源连接的绕组称为初级绕组或原边绕组,简称初级或原边;与负载连接的绕组称为次级绕组或副边绕组,简称次级或副边。

(2)理想变压器的计算公式

在理想情况下,即变压器无损耗时的有关计算如下:

①变压公式

式中 U1——初级交变电压的有效值(V);

U2——次级交变电压的有效值(V);

N1——初级绕组的匝数;

N2——次级绕组的匝数;

K——初、次级的电压比,或称匝数比,简称变比。

上式表明,变压器初、次级绕组的电压比等于它们的匝数比K。当K>1时,N1>N2,U1>U2,这种变压器称为降压变压器。当K<1时,N1<N2,U1<U2,这种变压器称为升压变压器。可见,当变压器的初、次级绕组采用不同的匝数比时,就可达到升高或降低电压的目的。

[例7-1] 已知某变压器的初级电压为220V,次级电压为36V,初级的匝数为1100匝,试求该变压器的变比和次级的匝数。

[解] 变比

次级匝数

②变流公式

式中 I1——初级交变电流的有效值(A);

I2——次级交变电流的有效值(A)。

上式说明,变压器工作时,其初、次级电流比与初、次级的电压比或匝数比成反比,而且初级的电流随次级电流的变化而变化。

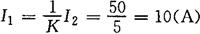
[例7-2] 已知某变压器的匝数比K=5,其次级电流I2=50A,试求初级电流。

[解] 初级电流

③变阻抗公式。在图7-2中,若把带负载的变压器(图中虚线框部分)看成是一个新的负载并以表示,对于无损耗即理想的变压器来说,只起功率传递作用,故有:

图7-2 变压器的阻抗变换作用

式中 RL——负载电阻(Ω);——负载电阻RL在变压器初级中的交流等效电阻(Ω)。

上式表明,负载RL接在变压器的次级上,从电源中获取的功率和负载直接接在电源上所获取的功率是完全相等的。也就是说是RL在变压器初级中的交流等效电阻。变压器的这种特性常用于电子电路中的阻抗达配,使负载获得最大的功率。

若已知RL,则变压器的变比为:

[例7-3] 已知某音响放大器的内阻R0=1.8kΩ,通过初级绕组为1200匝的变压器接阻值为8Ω的喇叭。求变压器的变比和次级绕组的匝数。

[解] 变比

次级绕组的匝数

(3)实际变压器的效率与额定容量

①额定电压。U1N为初级绕组的额定电压,是指加在初级绕组上的正常工作电压,它是根据变压器的绝缘强度和允许发热条件规定的。

U2N为次级绕组的额定电压,是指变压器在空载时,初级绕组加上额定电压后,次级两端的电压。

②额定容量。变压器的额定容量即变压器在额定工作状态下次级的视在功率,即:

SN=U2N·I2N (7-6)

式中 SN——单相变压器的额定容量即视在功率(W);

U2N——次级额定电压(V);

I2N——次级额定电流(A),通常可忽略损耗,认为U1N·I1N=U2N·I2N,以计算初级、次级的额定电流I1N、I2N

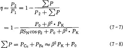
③效率。变压器的效率是输出功率与输入功率之比,即(单、三相均可)

式中 η——效率;

P1——变压器的输入功率(W);

P2——变压器的输出功率(W);

∑P——变压器的总损耗(W);

PCu——铜损(W);

PFe——铁损(W);

PK——短路损耗(W);

P0——空载损耗(W);

cosφ1——变压器初级功率因数;

cosφ2——变压器的负载功率因数;

β——负荷系数;

βm——变压器效率最高时的负载系数;

U1——变压器初级交变电压有效值(V);

U2——变压器次级交变电压有效值(V);

I1——变压器初级交变电流有效值(A);

I2——变压器次级交变电流有效值(A);

U2N——次级额定电压(V);

I2N——次级额定电流(A);

SN——变压器的额定容量(W)。

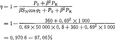
[例7-4] 一台容量为50kW的单相变压器,初级、次级电压为6000V/230V,电流为8.33A/217.4A,空载损耗P0=360W,短路损耗PK=1000W。当次级电流为150A时,求次级功率因数cosφ2=0.8时的效率η及次级功率因数cosφ2=0.9时的最高效率ηm

[解] 负载系数β

cosφ2=0.8时的效率η

效率最高时的负载系数βm

cosφ2=0.9时的最高效率ηm

2.小型单相变压器的计算

变压器新标准容量等级可见表7-1。

表7-1 变压器新标准容量等级

小容量单相变压器的计算,主要只是决定铁芯及绕组的尺寸,而不像大型变压器那样需涉及结构、性能及参数问题。

小型单相变压器的计算大致为六个内容:即求出输出总视在功率∑S2;计算变压器的输入视在功率S1及电流I1;确定变压器铁芯截面积AFe及选用硅钢片尺寸;计算每个绕组的匝数N;计算每个绕组的导线直径d和选择导线;计算绕组总尺寸,验算铁芯窗口面积是否合适。

(1)计算变压器输出总容量∑S2

若变压器副边为多绕组时,则总输出容量应为各绕组输出容量之和。即

式中 U2、U3…——副边各绕组电压有效值(V);

I2、I3…——副边各绕组电流的有效值(A)。

(2)计算变压器总容量S1及原边电流I1

式中 η——变压器的效率。对于1kVA以下的变压器η=0.8~0.9,

其中 U1——原边电压(电源电压)有效值(V);

1.1~1.2——考虑空载激磁电流大小的经验系数。

(3)确定变压器铁芯截面积AFe

变压器的铁芯尺寸如图7-3所示。铁芯柱截面积AFe的大小与变压器总输出容量有关,

图7-3 E形铁芯

式中 K0——经验系数,其大小与∑S2有关,可参考表7-2选用。

表7-2 系数K0参考值

AFe=ab(cm2) (7-17)

式中 a——铁芯柱宽(cm);

b——铁芯净迭厚(cm)。

根据计算所得AFe值,结合实际情况,来确定尺寸a与b的大小。

又由于铁芯用涂绝缘漆的硅钢片叠成,考虑到漆膜与钢片间隙的厚度,因此实际的铁芯厚度b′应为:

表7-3列出目前通用的小型硅钢片规格,其中各尺寸之间关系大致如下:

表7-3 小型变压器通用的硅钢片尺寸 (mm)

c=0.5a (7-19)

h=1.5a(当a>64时h=2.5a) (7-20)

D=3a (7-21)

H=2.5a (7-22)

迭厚 b≤2a (7-23)

图7-4为表7-3的对应图。

图7-4 小型硅钢片尺寸

(4)计算每个绕组的匝数

则每感应1V电势所需匝数N0为:

对不同的硅钢片,所允许的Bm值也不同。通常,冷轧硅钢片D310,Bm可取1.2~1.4T;热轧硅钢片D41、D42,Bm可取1.0~1.2T,D43取1.1~1.2T。

一般电机用硅钢片D21~D22取0.5~0.7T。

如果不知道硅钢片的牌号,按经验可以将硅钢片扭一扭,薄而脆的则磁性能较好(俗称高硅),Bm可取得大些;如硅钢片厚而软,则磁性能较差(俗称低硅),Bm取小些。一般Bm可在0.7~1.0T之间选取。

对于工频f=50Hz,于是

根据计算所得W0值乘以每个绕组的电压,就可以算得每个绕组的匝数N,

即 N1=U1N0,N2=U2N0, (7-27)

N3=U3N0,… (7-28)

其中 副边的绕组应都增加5%的匝数,以便补偿负载时的电压降。

(5)计算绕组导线直径d

先选取电流密度J,求出各绕组导线的截面积

然后查表7-4选取相近截面积时导线的线径dc,再由表7-5查得Q型漆包线带漆膜的线径d。

表7-4 常用圆铝、铜线的规格

表7-5 Q型、QQ型及QZ、QZL、QY型漆包线规格

上式中电流密度一般选用J=2~3A/mm2,变压器短时工作时可取J=4~5A/mm2。若取J=2.5A/mm2时,

(6)验算

根据已知绕组的匝数、线径、绝缘厚度等来核算变压器绕组所占铁芯窗口的面积,它应小于铁芯实际窗口面积(ch),否则绕组有放不下的可能。

根据选定的窗高h计算绕组每层可绕的匝数ni

式中 d——包括绝缘厚度的导线外径(mm);

0.9——考虑绕组框架两端各空出5%不绕线。因此每组绕组需绕层数m;为

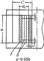
图7-5表示变压器原边绕组的绕制情况。变压器铁芯柱外面套上由青壳纸做的绕组框架或弹性纸框架,包上二层电缆纸与二层黄蜡布,厚度为B0。在框架外面每绕一层绕组后就包上层间绝缘,其厚度为δ。对于较细的导线,如0.2mm以下的导线一般采用一层厚度为0/02~0.04mm的透明纸(白玻璃纸);对于较粗的导线如0.2mm以上的导线,则采用厚度为0.05~0.07mm的电缆纸(或牛皮纸);对再粗的导线则可用0.12mm厚的青壳纸(或牛皮纸)。当整个原边绕组绕完后,还需在最外层裹上厚度为γ的绕组之间的绝缘纸。当电压不超过500V时,可用厚度为0.12mm的青壳纸或2~3层电缆纸夹2层黄蜡布等。因此原边绕组厚度B1

图7-5 变压器绕组的层间绝缘

B1=m1(d+δ)+γ(mm) (7-33)

式中 d——带绝缘导线的外径(mm);

δ——绕组层间绝缘的厚度(mm);

γ——绕组间绝缘的厚度(mm)。

同样可求出套在原边绕组外面的各个副边绕组的厚度B2、B3、B4…。所有绕组的总厚度为

B=(1.1~1.2)(B0+B1+B2+B3+…)(mm) (7-34)

式中 B0——框架的厚度(mm);

1.1~1.2——尺寸裕量。

显然,如果计算得到的绕组厚度B<C时,这个计算是可行的。但在设计时,经常遇到B>C的情况,这时有两种方法,一是加大铁芯迭厚,使匝数降低,但一般迭厚b′=(1~2)a比较合适,不能任意加厚。另一种方法是重选硅钢片的尺寸,按顺序再计算并验算合适为止。

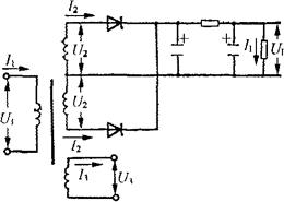
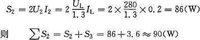
[例7-5] 试设计单相电源变压器,要求如图7-6所示。UL=280V,IL=0.2A,U3=36V,I3=0.1A。

图7-6 单相电源变压器电路图

[解]

①计算总输出容量∑S2

图中N2绕组是供全波整流用的,并用π型滤波器,因此须先求出N2绕组的输出容量S2。由于采用了π型滤波,根据电子技术的理论,可知整流后的负载端电压,UL=(1~1.4)U2,此处取1.3U2,而IL≈I2。因此

②变压器的总输入容量S1为:

取η=0.9

原边电流

③铁芯截面AFe

式中 K0按表7-2选取。

选用a=32mm的硅钢片(表7-3),则可算得铁芯迭片厚。取b′=45mm。

校验,因此,值在1~2之间,所以是合适的。

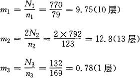
④每个绕组应绕的匝数N1、N2、N3

式中 取Bm=9600G。因此

N1=U1N0=220×3.5=770(t)

N2=1.05U2N0=1.05×215×3.5=792(t)

N3=1.05U3N0=1.05×6.3×3.5=132(t)

式中 1.05是考虑增加5%的匝数,以补偿负载时的电压降。

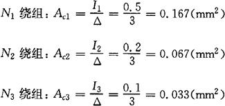
⑤计算导线直径d。

选取△=3A/mm2,求出各绕组所用导线截面积。

以Ac1、Ac2、Ac3查表7-4选得相近截面积时不带绝缘的导线线径dc1、dc2、dc3,再由表7-5查得Q型漆包线带漆膜的线径d1、d2及d3

dc1=0.47(mm);d1=0.52(mm)

dc2=0.29(mm);d2=0.33(mm)

dc3=0.21(mm);d3=0.24(mm)

⑥根据绕组尺寸核算窗口面积。

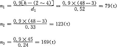
由图7-7(a),已知铁芯窗高h=48mm,可求得各绕组每层绕制匝数

(a)铁芯尺寸

(b)绕组排列

(c)引出线布置

图7-7 变压器绕组排列

各绕组应绕的层数如下:

各绕组排列布置如图7-7(b)所示,其中绝缘衬垫选用如下:

对地(铁芯)绝缘:用二层电缆纸(0.07mm)夹一层黄蜡布(0.14mm)厚度γ=2×0.07+0.14=0.28(mm)。

绕组间绝缘:与对地(铁芯)绝缘相同,即γ=0.28mm;

绕组层间绝缘:原边绕组用一层白玻璃纸δ1=0.04mm;副边绕组用一层电缆纸δ23=0.07mm。

绕组框架用弹性纸1mm厚,外包对地绝缘共厚B0=1+0.28=1.28mm,因此总厚度为

B=(1.1~1.2)(B0+B1+B2+B3)

=1.1{B0+[m1(d11)+γ]+[m2(d22)+γ]+[m3(d33)+γ]}

=1.1×{1.28+[10×(0.52+0.04)+0.28]+[13×(0.33+0.07)+0.28]+[1×(0.24+0.07)+0.28]}

=1.1×(1.28+5.6+0.28+5.2+0.28+0.31+0.28)

=1.1×13.23=14.55≈15(mm)

此绕组厚度接近于铁芯窗宽,故方案可行,但必须紧绕。绕组的引出线布置如图7-7(c)所示。

3.三相变压器

(1)结构

三相变压器可分为由三个单相变压器连接而成的三相组式变压器,如图7-8(a)所示。及三相合为一体的三相芯式变压器,如图7-8(b)所示。

(a)三相组式变压器

(b)三相芯式变压器

图7-8 三相变压器

三相组式变压器的三个单相变压器铁芯磁路是各自独立的,只要三相电压平衡,则磁路也是对称一样的,每只变压器可作为单相变压器来分析。

三相芯式变压器有三个铁芯柱,供三相磁通ΦU、ΦV、ΦW分别通过。在三相电压平衡时,磁路也是对称的,总磁通ΦUVW=0,所以不需要另外的铁芯来供Φ通过。由于中间铁芯磁路短一些,造成三相磁路不平衡,使三相空载电流也略有不平衡,但大变压器空载电流I0很小,故影响不大。由于三相芯式变压器体积小,经济性好,所以被广泛应用。图7-9为SZ9-10000/35型变压器安装图(有载调压)。

图7-9 SZ9-10000/35型变压器安装图(有载调压)

1-净油器 2-储油柜 3-气体继电器 4-接地线 5-压力释放阀 6-低压套管 7-板式散热器 8-高压套管 9-电动式分接开关 10-开关箱储油柜 11-温度计 12-注油管 13-取样嘴

(2)电力变压器铭牌

每个变压器都有铭牌,它是了解和使用变压器的依据。铭牌上记载了变压器的型号及各种额数据,如表7-6所示。

表7-6 电力变压器铭牌

1)型号

型号表示变压器的结构特点、额定容量(kW)和高压侧的电压等级(kV)。

①旧型号:SJL-560/10。

第一字母S——三相,D——单相;

第二字母J——油浸自冷,F——风冷,G——干式,S——水冷;

第三字母L——铝线,P——强迫油循环;

数字560——额定容量(kW),10——高压侧电压(kV)。

②新型号:S7-500/10——三相电力变压器第7设计序号。SN=500kW,U1N=10kV(高压侧)。

S9-80/10——三相电力变压器第9设计序号,SN=80kW,U1N=10kV(高压侧);

SZ9——代表有载调压三相电力变压器;

S9-M——代表全密封三相电力变压器。

2)额定电压UN

一次侧额定电压是指它正常工作时的线电压,它是由变压器的绝缘强度和允许发热条件所规定的。二次侧额定电压是指一次侧额定电压时,分接开关位于额定电压位置上,二次侧空载时的线电压,单位是V。

3)额定电流IN

额定电流是指在某环境温度、某种冷却条件下允许规定的满载线电流值。当环境温度和冷却条件改变时,额定电流也应变化。额定电流的大小主要由绕组绝缘和散热条件限制。例如,干式变压器加风扇散热后,电流可提高50%。我国规定变压器的环境温度是40℃。

4)额定容量SN

额定容量的单位为kW,也称视在功率,表示在额定工作条件下变压器的最大输出功率,而满负荷时实际的输出功率为:P2=SNcosφ2。当然,SN也和IN一样受到环境和冷却条件的影响。

单相时: SN=U2NI2N

三相时:

通常可忽略损耗,认为U1NI1N=U2NI2N,以计算一次侧、二次侧的额定电流I1N,I2N

为用电设备选择变压器的容量,要根据负载的视在功率计算,即按照负载的额定电压,额定电流的乘积计算,而不能按照负载所需的有功功率来计算。

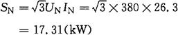
[例7-6] 有一三相负载,工作时额定电压为380V,额定电流为26.3A,负载的功率因数cosφ=0.87,求该设备工作时所需变压器的容量及消耗的功率。

[解] 用电设备所需变压器的容量

该设备消耗的功率

P=SN·cosφ=17.31×0.87=15.1(kW)

由上例可见,用电设备工作时所需变压器的容量,由用电设备的视在功率决定。因此,在负载消耗功率相同的情况下,负载的功率因数越高,它所需变压器的容量数值越小。也就是说功率因数低的负载接入变压器时,变压器需要供给它的电流要大于功率因数高的负载的电流。

由变压器的额定电流决定变压器能够向多大的负载供电。输出电流过大,就会使变压器过热而烧坏绕组。如果提高了负载的功率因数,它所需变压器的容量就会减小,或者说,同一台变压器就可以向更多的负载供电。所以提高功率因数对节约变压器的容量很有意义。

5)阻抗电压UK

阻抗电压UK也称短路电压,与输出电压的稳定性有关,也与承受短路电流的能力有关,要综合考虑。

6)温升

温升是变压器额定工作条件下,内部绕组允许的最高温度与环境温度之差,它取决于所用绝缘材料的等级。绕组的最高允许温度为额定环境温度加变压器额定温升,如40+65=105℃,为A级绝缘的耐热温度。这时变压器油面的最高温度为40+55=95℃,一般上层油温应工作在85℃以下,以控制油的老化不致太快。

7)冷却方式

ONAN——油浸自冷。

8)绝缘水平

L1——雷击耐压75kV,AC——交流耐压35kV。

9)其他数据

其他数据还有油质量、器身质量、总质量等,这些数据为变压器维修提供依据,根据它来准备变压器油、起吊设备、其他维修材料和设备。具体标准可查有关标准代号。

(3)三相变压器的有关计算

1)变比

①三相变压器的初、次级都是丫接法,或都是△接法时,K可以和单相变压器中一样求解即:

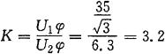
②三相变压器的初、次级的接法不一样,一个为丫接法,另一个为△接法,则应把丫接法的相电压与△接法的线电压相比较,即

式中 U1φ,U2φ——初级、次级的相电压。

2)额定容量

3)满负荷时,实际的输出功率

P2=SN·cosφ2 (7-38)

4)输出功率

5)输入功率

P1=P2+P02PK (7-41)

6)负荷系数

满负荷时,I2=I2N,则β=1

7)变压器效率最高时的负荷系数

8)效率

9)无功功率

[例7-7] 已知某三相变压器的额定容量为SN=7500kW,初级、次级额定电压为U1N/U2N=35kV/6.3kV,丫/△接法。若空载损耗P0=15kW,短路损耗PK=73.7kW。求:

①变压器的变比;

②满负荷且负载功率因数cosφ2=0.8时的效率;

③变压的最大效率,及这时的输入功率P1和输出功率P2及无功功率Q2

[解] ①变比:

②满负荷且负载功率因数cosφ2=0.8时的效率;

③变压器的最大效率,及这时的输入功率P1和输出功率P2及无功功率Q2

随便看

 

文网收录3541549条中英文词条,其功能与新华字典、现代汉语词典、牛津高阶英汉词典等各类中英文词典类似,基本涵盖了全部常用中英文字词句的读音、释义及用法,是语言学习和写作的有利工具。

 

Copyright © 2004-2024 Ctoth.com All Rights Reserved
京ICP备2021023879号 更新时间:2025/10/17 20:15:32