网站首页  词典首页

请输入您要查询的字词:

 

字词 可靠性设计基本程序
类别 中英文字词句释义及详细解析
释义

可靠性设计基本程序


进行可靠性设计,先要定出产品的功能和结构方面的设计,然后进行可靠性评价,对其薄弱环节进行修正,再评价,再修正,如此反复多次,使设计具有适当的可靠性。可靠性设计内容很多。若对象不同,设计程序亦不相同。概括起来,最主要的程序有以下三项:

第一,进行可靠性预测;

第二,根据预测的系统可靠性指标,对各个分系统直至零部件(元器件)作出可靠性分配;

第三,根据分配和要求的可靠性指标,采取相应的可靠措施。下面分别加以介绍。

(一)可靠性预测

产品的可靠性预测是指在设计阶段,根据产品使用的元件、功能、使用环境以及它们的相互关系,来推测和计算产品可靠性指标的方法。

(1)串联系统可靠性预测。串联系统是在功能关系上系统各部件是串联的,只要有一个部件发生故障,就会导致整个系统发生故障。由概率统计原理可知,这种串联系统的可靠度是相乘的。即

R系统=R1×R2×R3×…

例:一台设备由一个电源、一个接收机和一个放大器组成,它各部分失效率(即故障率)如下,工作1000小时,求它的可靠度。

λ电源=25次失效/106小时

λ接收机=30次失效/106小时

λ放大器=15次失效/106小时

解:R电源 e-25×10-6×1000=0.97531。

R接收机 e-30×10-6×1000=0.97045,

R放大器 e-15×10-6×10000=0.9851

R设备=R电源×R接收机×R放大器

=0.97531×0.97045×0.98511=0.93

(2)并联贮备系统可靠性预测。所谓并联贮备系统是指在系统的某个功能部件上,并联了几个可以相互替换的部件,只有在这些部件全部发生故障,系统才不能正常工作。

分系统可靠度相同的并联贮备的可靠性预测公式为:

R系统=1-Fn

式中 R——系统可靠度;

F——每个并联贮备部件或分系统的不可靠度;

n——并联贮备分系统数量。

例:一个系统包括三个相同的并联贮备分系统,他们的可靠度均为0.8,求此系统的可靠度。

解:按公式R=1-Fn计算,n=3

F分系统=1-R分系统=1-0.8=0.2

则 R系统=1-0.23=0.992

(3)串-并联贮备系统可靠性预测。如图3-8。

图3-8 串-并联贮备系统

其可靠度预测公式为:

R系统=1-(1-RA·RB)(1-RC·RD)

当分系统的可靠度相同时,上式可简为:

R系统=1-(1-R2)2

例:图3-8系统中 RA=RB=RC=RD=0.9

求此系统的可靠度。

R系统=1-(1-0.92)2=0.9639

(4)非工作储备并联系统可靠性预测。非工作贮备系统亦称待机工作系统或冷贮备系统。是指在工作的部件未失效之前,它们不参加工作,处于等待状态,当工作的单元一旦失效,它们马上接上去工作。这种系统的可靠性可大大提高。

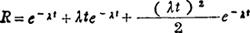
对于只有一个非工作贮备单元的情况(见图3-9),系统的可靠度预测公式为:

图3-9 非工作贮备并联系统

R=e-λt+λte-λt

对于有两个非工作贮备单元的情况,则预测公式为:

例:有两个单元,每个单元的失效率为:λ=0.001次失效/小时,其中一个工作,一个非工作贮备,100小时工作期间,求它的可靠度。

解1按公式有:

R=e-λt+λte-λt=e-λt(1+λt)

而 λt=0.001×100=0.1

故 R=e-0.1(1+0.1)=1.1×e-0.1≈0.995

(二)可靠性分配

所谓可靠分配就是使用一定的数学方法,把系统的可靠性指标合理地分配给分系统、部件的过程。可靠性分配的目的,主要是落实系统的可靠性指标和各分系统或部件的可靠要求,或通过分配找出薄弱环节,为改进设计提供依据。

可靠性分配是按系统→分系统→部件→元器件这样自上而下的分配。它正与可靠性预测相反。一般地说,可靠预测是可靠性分配的基础,它先于可靠性分配。但由于某种原因,在分配过程中也会有预测→分配→再预测→再分配的循环过程。

下面仅以串联系统的可靠性分配为例,说明可靠性一般步骤:

(1)用F=1-R公式求出各部件预测的不可靠度。

(2)把系统允许的不可靠度与各部件预测的不可靠度的和作比较。

(3)将第(2)项所得的比例因子与各部件预测的不可靠度相乘,求出各部件允许的不可靠度。

(4)用R=1-F公式,求出对各部件所需求的可靠度。

例:有一个由A,B,C,D四个分系统组成的系统(图3-10)要求其可靠为0.9,现把这个指标分配给这四个系统,看是否满足要求。

图3-10 由四个分系统组成的系统

解:此系统的可靠度为0.9,则不可靠度为:

F=1-0.9=0.1

1)先求出各分系统的不可靠度:

A=1-0.960=0.040

B=1-0。920=0.080

C=1-0.980=0.020

D=1-0.940=0.060

各个分系统不可靠度之和为:

0.040+0.080+0.020+0.060=0.20

(2)将各分系统预测的总不可靠度与系统允许的不可靠度进行比较,结果为0.10/0.20=0.5。

(3)把所得的比例因子(0.5)与各分系统预测的不可靠度相乘,得出各分系统允许的不可靠度,即:

A→0.04×0.5=0.02

B→0.08×0.5=0.04

C→0.02×0.5=0.01

D→0.06×0.5=0.03

(4)应用R=1-F公式,求出各分系统所要求的可靠度指标,即:

A→1-0.02=0.98

B→1-0.04=0.96

C→1-0.01=0.99

D→1-0.03=0.97

再用串联可靠性预测公式得系统可靠度:

0.98×0.96×0.99×0.97=0.9035

满足例意可靠度为0.90的要求,至于多余量0.0035一般不再分配。

(三)提高可靠性的具体措施

提高可靠性设计的措施很多,这里只介绍对任何设计都具有普遍意义的措施。

1.耐环境设计

在耐环境设计中,首先要估计或确定设备的工作环境,然后看在该环境下设备和元器件、零部件能不能满足可靠性要求,如果不能,就要在设计上采取防护措施。耐环境设计包括耐振设计、防热设计、防腐蚀和防潮设计、防辐射设计、防霉菌设计以及防盐雾设计。

2.维修性设计

维修性设计是考虑便于维修保养所采取的设计措施和方法。它考虑的方面有可达性、装配方法、部件的组件化与小型化、测试点和检测设备方便等。可达性是指在维修时容易看到维修的目标点,并能将手或工具伸进去操作的性质。从装配方法看,要考虑把故障率高的零部件放在装拆时间短的位置。复杂设备在设计中需合理配置测试点。

3.人-机系统设计

人和机器之间有着极为密切的相互配合、相互制约和相互作用的关系。在设计中合理考虑人的因素,对提高系统的可靠性起着重要的作用。如一个由单人单机组成的系统其可靠度为:

RS=RHRM

式中RH为人的可靠度;RM为机器的可靠度。为了提高系统的可靠性,设计中需要从空间方面、动力学方面、信息方面去考虑人的因素,对提高系统的可靠性起着重要的作用。

现在,我们把可靠性设计所涉及到的各个方面编制成表3-2。

可靠性设计要求、因素表

随便看

 

文网收录3541549条中英文词条,其功能与新华字典、现代汉语词典、牛津高阶英汉词典等各类中英文词典类似,基本涵盖了全部常用中英文字词句的读音、释义及用法,是语言学习和写作的有利工具。

 

Copyright © 2004-2024 Ctoth.com All Rights Reserved
京ICP备2021023879号 更新时间:2026/3/14 19:56:12