网站首页  词典首页

请输入您要查询的字词:

 

字词 后张法施工工艺
类别 中英文字词句释义及详细解析
释义

后张法施工工艺


后张法的施工工艺主要包括:预留孔道、预应力筋制作、预应力筋的穿入敷设、预应力筋的张拉与锚固和孔道灌浆。

(一)预留孔道

预留孔道主要为穿预应力筋(束)及张拉锚固后灌浆用。预留孔道的正确与否,是后张法构件生产中的关键之一,预留孔道方法有钢管抽芯法、胶管抽芯法、预埋管法等,其基本要求是:孔道的尺寸与位置应正确,孔道应平顺,接头不漏浆,端部的预埋钢板应垂直于孔道中心线,孔道的直径应符合要求。

1.钢管抽芯法

钢管抽芯法用于直线孔道。预先将钢管埋设在模板内的孔道位置,在混凝土浇筑和达到终凝之前,应间隔一定时间缓慢转动钢管,不使混凝土与钢管粘结,待混凝土初凝后、终凝前将钢管抽出。为了保证预留孔道的质量,施工时应注意以下几点:

(1)要求钢管平直、表面光滑,预埋前应除锈、刷油,安放位置准确;钢管在构件中用钢筋井字架定位,井字架间距不宜大于1.0m。钢管每根长度最好不超过15m,两端各应伸出构件100mm左右。钢管一端钻16mm小孔,以便于旋转和抽管。

(2)掌握好抽管时间。抽管过早,混凝土未达到一定强度,会造成坍孔事故;抽管过晚,混凝土与钢管易粘结,造成抽管困难。具体抽管时间与水泥品种、施工气温和养护条件有关。一般掌握在混凝土初凝后、终凝前,手指按压混凝土表面不显指纹即可抽管,常温下抽管时间约在混凝土浇筑后3~6h。抽管前每隔10~15min转动一次钢管。

(3)抽管顺序宜先上后下进行。抽管方法可用人工或卷扬机,抽管时必须速度均匀,边抽边转,并与孔道保持在一条直线上,防止构件表面发生裂缝。抽管后应及时检查孔道情况,并做好穿筋前的孔道清理工作,避免日后穿筋困难。

(4)采用钢筋束镦头锚具和锥形螺杆锚具留设孔道时,张拉端的扩大孔也可用钢管成型,留孔时应注意端部扩孔应与中间孔道同心。抽管时先抽中间钢管,后抽扩孔钢管,以免碰坏扩孔部分,并保持孔道平滑和尺寸准确。

(5)由于孔道灌浆需要,在浇筑混凝土时,应在设计规定位置留设灌浆孔。一般情况下在构件两端和中间,每隔12m设置一个直径为20~25mm的灌浆孔,并在构件两端各设一个排气孔。

2.胶管抽芯法

预留孔道所用的胶管,采用5~7层帆布夹层、壁厚6~7mm的普通橡皮管,可用于直线、曲线或折线孔道。胶皮安放于设计位置后,也用钢筋井字架固定,直线孔道井字架间距不宜大于0.5m,曲线孔道适当加密;在浇筑混凝土前,在胶管中以0.6~0.8N/mm2的压力充水或充气,使胶管直径增大3mm左右然后浇筑混凝土;混凝土脱离,随即抽出胶管形成孔道。

在混凝土浇筑成型时,振动机械不能直接碰撞胶管,并经常注意压力表上的压力是否正常,如灌浆压力发生变化,必要时可以补压。待混凝土达到初凝后、终凝前,将胶管阀门打开放水(或放气)降压,胶管回缩与混凝土自行脱落。

胶管抽芯与钢管抽芯相比,具有弹性好,便于弯曲,不需转动等优点。因此,它不仅可以留设直线孔道,而且可以留设曲线孔道。使用胶管留设孔道,胶管必须具有良好的密封装置,抽管时间应比钢管略迟。抽管后,应及时清理孔道内的堵塞物。

3.预埋管法

预埋管法是采用黑铁皮管、薄钢管、镀锌钢管与金属螺旋管(波纹管)等。其中金属螺旋管是由镀锌薄钢带经压波后卷成,具有重量轻、刚度好、弯折方便、连接容易、与混凝土粘结良好等优点,可做成各种形状的孔道,并可省去抽管工序,是目前预埋管法的首选管材。

金属螺旋管使用前应做灌水试验,检查有无渗漏现象;管头连接应采用大一号同型管,接头管长度为200mm;管的固定采用钢筋卡子并用铁丝绑牢,钢筋卡子焊在箍筋上,卡子间距不大于600mm;管子尽量避免反复弯曲,以防止管壁开裂。

(二)预应力筋制作

预应力筋的制作,主要根据所选用的预应力钢材的品种、锚(夹)具类型及生产工艺等方面确定。预应力制作包括下料长度的计算和编束。

预应力筋的下料长度应由计算确定,计算时应考虑结构的孔道长度、锚(夹)具厚度、千斤顶长度、焊接接头或镦头预留量、冷拉伸长率、弹性回缩值、张拉伸长值等。

1.预应力筋的下料长度

(1)单根预应力粗钢筋的下料长度

1)当预应力筋两端采用螺纹端杆锚具时(图6-30),其成品全长(包括螺纹端杆在内冷拉后的全长)可按下式计算:

图6-30 粗钢筋的下料长度计算示意图

(a)两端用螺纹端杆锚具;(b)一端用螺纹端杆锚具

1-螺纹端杆;2-预应力筋;3-对焊接头;4-垫板;5-螺母;6-帮条锚具;7-混凝土构件

预应力筋(不包括螺丝端杆)冷拉后需达到的长度,可按下式计算

预应力筋(不包括螺丝端杆)冷拉前的下料长度,可按下式计算

式中 l——构件的孔道长度(mm);

l2——螺丝端杆伸出构件外的长度(mm),张拉端l2=2H+h+5mm;10mm;

H——螺母的高度(mm);

l1——螺丝端杆的长度(一般为320mm);

γ——预应力筋的冷拉率(由试验确定);

δ——预应力筋的冷拉弹性回缩率(一般为0.4%~0.6%);

n——对焊接头的数量;

△——每个对焊接头的压缩量(一般为20~30mm);

H——垫板的厚度(mm)。

锚固端l2=H+h+

2)当预应力筋一端用螺纹端杆,另一端用帮条(或镦头)锚具时,其成品全长L1(包括螺纹端杆在内冷拉后的全长)、预应力筋(不包括螺丝端杆)冷拉后需达到的长度L0和预应力筋(不包括螺丝端杆)冷拉前的下料长度L,可用下式计算:

为保证质量,冷拉钢筋宜采用控制应力的方法。如果在一批钢筋中冷拉率分散性较大时,应尽可能将冷拉率相近的钢筋对焊在一起,以保证钢筋冷拉应力的均匀性。

(2)预应力钢丝束的下料长度

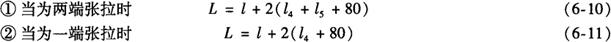
1)当采用钢质锥形锚具、以锥锚式千斤顶张拉时(图6-31),钢丝的下料长度L可按下式计算:

式中 l4——锚环的厚度(mm);

l5——千斤顶分丝头至卡盘外端距离(mm)。

图6-31 采用钢质锥形锚具时钢丝的下料长度L计算

1-混凝土构件;2-孔道;3-钢丝束;4-钢质锥形锚具;5-锥锚式千斤顶

2)当采用镦头锚具、以拉杆式或穿心式千斤顶张拉时(图6-32),钢丝的下料长度L可按下式计算:

式中 a——锚环底部厚度或锚板厚度(mm);

b——钢丝镦头的留量,一般可取10mm;

K——系数,一端张拉时取0.50,两端张拉时取1.0;

H1——螺母的高度(mm);

H——锚环的高度(mm);

△L——钢丝束张拉伸长值(mm);

c——张拉时构件混凝土的弹性压缩值(mm)。

图6-32 采用镦头锚具时钢丝的下料长度L计算

1-混凝土构件;2-孔道;3-钢丝束;4-锚环;5-螺母;6-锚板

3)当采用钢质锥形锚具、以拉杆式千斤顶张拉时(图6-33),钢丝的下料长度L可按下式计算:

式中 l6——锥形螺杆锚具的套筒长度(mm);

d——钢丝伸出套筒的长度,取d=20mm。

图6-33 采用锥形螺杆锚具时钢丝的下料长度L计算

1-螺母;2-垫板;3-锥形螺杆锚具;4-钢丝束;5-孔道;6-混凝土构件

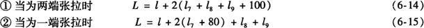
(3)钢筋束或钢绞线束的下料长度

当采用夹片式锚具、以穿心式千斤顶张拉时(图6-34),钢筋束或钢绞线的下料长度L可按下式计算:

式中 l7——夹片式工作锚的厚度(mm);

l8——穿心式千斤顶的长度(mm);

l9——夹片式工具锚的厚度(mm)。

图6-34 钢筋束或钢绞线束的下料长度计算

1-混凝土构件;2-孔道;3-钢筋束;4-夹片式工作锚;5-穿心式千斤顶;6-夹片式工锚

2.预应力筋的编束

钢丝编束可保证钢丝束两端钢丝的排列顺序一致,在穿束与张拉时不致紊乱。随着所用锚具形式不同,编束方法也有差异:采用镦头锚具时,先将内圈和外圈钢丝分别用铁丝顺序编扎,然后将内圈钢丝放入外圈钢丝内扎牢;采用钢质锥形锚具时,编束分为空心束和实心束两种,但都需要圆盘梳丝板理顺钢丝,并在距钢丝端部5~10cm处编扎一道,使张拉分丝时不致紊乱。

钢绞线用20号铁丝绑扎编束,间距为1~1.5m。编束时应先将钢绞线理顺,使各根钢绞线松紧一致。如果钢绞线是单根穿入孔道,则不必编束。

(三)预应力筋的穿束

1.穿束顺序

预应力筋穿入孔道,简称穿束。穿束可分为先穿束法和后穿束法两种。先穿束法是在浇筑混凝土之前穿束,此法按穿束与预埋螺旋管之间的配合,又可分为以下三种:

(1)先穿束后装管

先穿束后装管,即先将预应力筋穿入钢筋骨架内,后将螺旋管逐节从两端套入并连接。

(2)先装管后穿束

先装管后穿束,即先将螺旋管安装就位,后将预应力筋穿入。

(3)二者组装放入

二者组装放入,即在构件外侧的脚手上将预应力筋与螺旋管组装后,从钢筋骨架顶部放入设计部位。

后穿束法是在混凝土浇筑之后穿束,此种穿束方法不占工期,便于用通孔器或高压水通孔,穿束后立即可以张拉,易于防锈,但穿束时比较费力。

2.穿束方法

根据预应力筋一次穿入的数量,可分为整束穿法和单束穿法。对钢丝束一般应采用整束穿;对钢绞线优先采用整束穿,也可用单根穿。穿束工作可由人工、卷扬机和穿束机进行。

(1)人工穿束

人工穿束可利用起重设备将预应力筋吊起,工人站在脚手架上将其逐步穿入孔内。束的前端应扎紧并裹胶布,以便顺利通过孔道。对多波曲线束,宜采用特制的牵引头,工人在前头牵引、后头推送,用对讲机随时联系,保持前后两端同时用力。

(2)卷扬机穿束

卷扬机穿束主要用于超长束、特重束、多波曲线束等整束穿入。卷扬机的电动机功率为1.5~2.0kW,卷扬机速度宜为10m/min,束的前端应装有穿束网套或特别的牵引头。

(3)穿束机穿束

穿束机是一种专门用来穿束的设备,主要适用于大型桥梁与构筑物单根钢绞线的穿入。

(四)预应力筋张拉

预应力筋张拉是生产预应力构件的关键。张拉时结构的混凝土强度应符合设计要求,当无设计具体要求时,不应低于设计强度等级的75%。在预应力筋张拉中,主要是解决好张拉方式、张拉程序、张拉顺序、张拉伸长值校核和注意事项等问题。

1.预应力筋的张拉顺序

预应力筋的张拉顺序应按照设计规定进行。当设计无具体规定时,应采取分批分阶段对称进行,以免构件受过大的偏心压力而发生扭转和侧弯。因此,在确定张拉顺序时,对称张拉是一项重要原则,同时还要考虑到尽量减少张拉设备移动的次数。

图6-35所示为预应力混凝土屋架下弦预应力筋的张拉顺序。图6-35a为两束预应力筋能同时进行张拉,宜采用两台千斤顶分别设置在构件两端对称张拉;图6-35b是对称的四束预应力筋,当不能同时张拉时,应采用分批对称张拉,即用两台千斤顶分别在两端张拉对角线上的两束,然后再张拉另外两束。

图6-35 屋架下弦预应力筋的张拉顺序

(a)两束;(b)四束

1,2-预应力筋分批张拉的顺序

图6-36所示为预应力混凝土吊车梁预应力筋采用两台千斤顶的张拉顺序,对配有多根不对称的预应力筋的构件,应采用分批分阶段对称张拉。采用两台千斤顶预先张拉上部两束预应力筋,下部的四束曲线预应力筋采用两端张拉的方法分批进行。为使构件对称受力,每批两束先按一端张拉方法进行张拉,待两批四束均进行一端张拉后,再分批在另一端张拉,以减少先批张拉筋所受的弹性压缩损失。

图6-36 吊车梁预应力筋的张拉顺序

1,2,3-预应力筋分批张拉的顺序

对于平卧重叠浇筑的预应力混凝土构件,张拉预应力筋的顺序是先上后下,逐层依次进行。为了减少上下层之间因摩阻力引起的预应力损失,应当逐层适当加大张拉力,且要注意加大张拉控制应力后不要超过最大张拉力的规定。

为了减少叠层浇筑构件摩阻力的应力损失,应进一步改善隔离层的性能,限制重叠浇筑的层数,一般不得超过四层。如果隔离层的效果非常好,也可以采用同一张拉值进行张拉。

根据有关单位试验研究与大量工程实践,得出不同预应力筋与不同隔离层的平卧重叠浇筑构件逐层增加的张拉力百分数,如表6-8所示,可供施工中参考。

表6-8 平卧重叠浇筑构件逐层增加的张拉力百分数

注:第1类隔离剂:塑料薄膜、油纸;第Ⅱ类隔离剂:废机油滑石粉、纸筋灰、石灰水、废机油、柴油石蜡;第Ⅲ类隔离剂:废机油、石灰水、滑石粉。

2.预应力筋的张拉程序

预应力筋的张拉程序,主要应根据构件类型、张拉与锚固体系、松弛损失取值等因素来确定。后张法施工预应力筋的张拉程序,与先张法基本相同,一般可以分为以下三种情况:

(1)设计时松弛损失按一次张拉程序取值

0→σcon锚固

(2)设计时松弛损失按超张拉程序取值

0→1.05σcon(持荷2min)→σcon锚固

(3)设计时松弛损失按超张拉程序,但采用锥销式锚具或夹片式锚具

0→1.03σcon锚固

以上各种预应力筋的张拉程序,均可采用分级加载的方法。对于曲线束,一般以0.2σcon为起点,分为0.6σcon、1.0σcon二级加载或0.4σcon、0.6σcon、0.8σcon和1.0σcon四级加载,每级加载均应量测预应力筋的伸长值。

3.预应力筋的张拉方法

为了减少预应力筋与预留孔壁摩擦而引起的应力损失,对于曲线预应力筋和长度大于24m的直线预应力筋,应当采取两端同时张拉的方法;对于长度等于或小于24m的直线预应力筋,可以一端进行张拉,但张拉端宜分别设置在构件的两端。

对于预埋波纹管孔道曲线预应力筋和长度大于30m的直线预应力筋,宜在两端同时张拉;对于长度等于或小于30m的直线预应力筋,可以在一端进行张拉。

对于直线预应力筋,在安装张拉设备时,应使张拉力的作用线与孔道中心线重合;对于曲线预应力筋,应使张拉力的作用线与孔道中心线末端的切线方向重合。

用应力控制方法张拉预应力筋时,还应测定预应力筋的实际伸长值,以便对预应力值进行校核。预应力筋实际伸长值的测定方法与先张法相同,实际伸长值与设计计算理论伸长值的允许偏差为±6%,如果超出这个允许范围,应立即停止张拉,待查明原因并采取措施予以调整后方可继续张拉。

4.预应力筋的张拉事项

为确保建立准确的预应力值和施工质量,在进行预应力筋的张拉过程中,应当注意如下事项:

(1)张拉时应当认真做到孔道、锚环与千斤顶三对中,以便张拉工作顺利进行,并且不至于增加孔道的摩擦损失。

(2)当采用锥锚式千斤顶张拉钢丝束时,先使千斤顶张拉缸进油,至压力计略微有所启动时暂停,检查每根钢丝的拉紧程度并进行适当调整,各根钢丝的初始拉力基本平衡后,再打紧楔块。

(3)工具锚的夹片,应注意保持清洁和良好的润滑状态。新的工具锚夹片第一次使用前,应在夹片背面涂上润滑剂,以后每使用5~10次,应将工具锚上的挡板连同夹片一起卸下,向锚板的锥形孔中重新涂上一层润滑剂,以防止夹片在退楔时卡住。润滑剂可采用石墨、二硫化钼、石蜡或专用退锚灵等。

(4)在多根钢绞线束夹片锚固体系中,如果遇到个别钢绞线产生滑移,可采用更换夹片,用小型千斤顶单根张拉的措施。

(5)每根预应力混凝土构件在张拉完毕后,应仔细检查构件端部和其他部位是否有裂缝,并认真填写张拉记录表,以备工程验收用。

(6)预应力筋锚固后的外露长度,不宜小于30mm。对于长期外露的锚具,可涂装或用混凝土封裹,以防止出现腐蚀现象。

(7)预应力筋张拉过程中应特别注意安全。在张拉构件的两端应设置保护装置,如用麻袋、草包装土筑成土墙,以防螺帽滑脱、钢筋断裂飞出伤人;在张拉操作中,预应力筋的两端严禁站人,操作人员应站在张拉机的一侧。

(五)孔道灌浆

预应力筋张拉后处于高应力状态,对于腐蚀非常敏感,后张法有粘结预应力筋张拉后应尽快进行孔道灌浆。孔道灌浆的主要目的是:保护预应力筋,防止预应力筋产生锈蚀;使预应力筋与结构混凝土粘结在一起,从而增加结构的抗裂性、整体性和耐久性。试验研究证明,在预应力筋张拉后立即灌浆,可减少预应力松弛损失20%~30%。

1.对灌浆材料的要求

后张法孔道灌浆所用的水泥浆,既应有足够的强度和粘结力,也应有较大的流动性和较小的干缩性及泌水性。因此,孔道灌浆的材料应满足以下要求:

(1)采用强度等级不低于42.5MPa的普通硅酸盐水泥,水泥浆的水灰比不应大于0.45,流动度为120~170mm。

(2)水泥浆的泌水率应严格控制,搅拌后3h泌水率宜控制在2%,最大不得超过3%。

(3)当需要增加孔道灌浆的密实性时,水泥浆中可掺入对预应力筋无腐蚀作用的外加剂。如掺入占水泥质量0.25%的木质素磺酸钙、0.25%的FDN、0.50%的NNO,一般减水率可达10%~15%,可获得泌水小、收缩轻、强度高的效果;如掺入0.05‰的铝粉,可使水泥浆获得2%~3%的膨胀率,从而可提高孔道灌浆的饱满度,同时也能满足强度的要求。

(4)对于空隙较大的孔道,可采用水泥砂浆进行灌浆,水泥及砂浆的强度均不应小于20N/mm2

2.灌浆施工工艺

在孔道灌浆之前,应用压力水将孔道冲刷干净并润湿孔壁。灌浆应按先下后上的顺序,以免上层孔道漏浆把下层孔道堵塞。直线孔道灌浆,应从构件的一端逐渐到另一端;在曲线孔道中灌浆,应从孔道最低处开始向两端进行,至最高点排气孔排出空气并溢出浓浆为止。

用连接器连接的多跨连续预应力筋的孔道灌浆,应张拉完一跨随即灌注一跨,不得在各跨全部张拉完毕后,一次连续灌浆。

孔道灌浆可用电动压浆泵,灌浆时水泥浆应缓慢均匀地泵入,不得出现中断,并应排气通顺;在孔道两端冒出浓浆并封闭气孔后,再继续加压至0.5~0.6N/mm2,并稳压一定的时间,以确保孔道灌浆的密实性。

对于不掺加外加剂的水泥浆,可以采用二次灌浆法。二次灌浆的时间要掌握恰当,一般在水泥浆泌水基本完成、初凝尚未开始时进行,在夏季一般为30~45min,在冬季一般为1~2h。

搅拌好的水泥浆不得直接灌入孔道,必须通过水泥浆过滤器,置于贮浆桶内,并不断进行搅拌,以防止水泥浆产生泌水沉淀。

预应力混凝土的孔道灌浆,一般应在常温下进行。在低温灌浆前,宜通入50℃的温水,洗净孔道并提高孔道周边的温度达到5℃以上;灌浆时水泥浆的温度宜为10~25℃,水泥浆的温度在灌浆后至少有5d保持在5℃以上;且应养护到强度不小于15N/mm2

为确保暴露于结构外的锚具能够永久地正常工作,不至于受外力冲击和雨水浸入而造成破损或腐蚀,应采取防止锚具锈蚀和遭受机械损伤的有效措施;对凸出式锚固端的锚具的保护层不应小于50mm,外露预应力筋的保护层,对处于正常环境时不应小于20mm,对处于易受腐蚀的环境时不应小于50mm。

随便看

 

文网收录3541549条中英文词条,其功能与新华字典、现代汉语词典、牛津高阶英汉词典等各类中英文词典类似,基本涵盖了全部常用中英文字词句的读音、释义及用法,是语言学习和写作的有利工具。

 

Copyright © 2004-2024 Ctoth.com All Rights Reserved
京ICP备2021023879号 更新时间:2025/10/18 19:23:00