如图5-17所示为后方交会基本图形。A,B,C,D为已知点,在待定点P上设站,分别观测已知点A,B,C,观测出α和β,然后根据已知点的坐标计算出P点的坐标,这种方法称为测角后方交会,简称后方交会。

图5-17 后方交会
后方交会的计算方法有多种,现只介绍一种,即P点位于A,B,C三点组成的三角形之外时的简便计算方法,可用下列公式求得。

为了保证P点的坐标精度,后方交会还应该用第四个已知点进行检核。如图5-17所示,在P点观测A,B,C点的同时,还应观测D点,测定检核角ε测。在算得P点坐标后,可求出αPB与αPD,由此得ε计=αPD-αPB。若角度观测和计算无误时,则应有ε测=ε计。
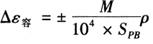
但由于观测误差的存在,使ε计≠ε测,二者之差为检核角较差,即

△ε的容许值可用下式计算:

式中 M——测图比例尺分母。
如果选定的交会点P与A,B,C三点恰好在同一圆周上时,则P点无定解,此圆称为危险圆。在后方交会中,要避免P点处在危险圆上或危险圆附近,一般要求P点至危险圆距离应大于该圆半径的1/5。