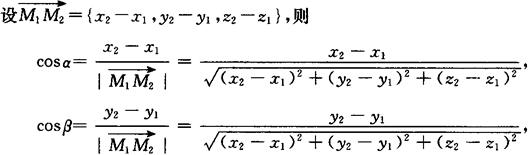
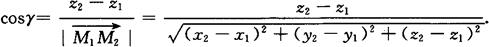
向量的坐标表达式 设向量a的起点为M1(x1,y1,z1)终点为M2(x2,y2,z2),则
={x2-x1,y2-y1,z2-z1}.
其中,i,.j,k分别为x,y,z轴上与轴的正方向相同的单位向量,称为基本单位向量.
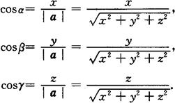
当起点在原点,终点为(x,y,z)时向量a为
a=xi+yj+zk={x,y,z}.
向量的长度公式 设向量a=xi+yj+zk,则

设M1(x1,y1,z1),M2(x2,y2,z2)则

向量的方向余弦 设α,β,γ为向量a与x,y,z轴的正方向夹角不超过π的角,则称α,β,γ为向量a的方向角.方向角的余弦称为向量a的方向余弦.


设a={x,y,z},则

方向余弦之间的关系 cos2α+cos2β+cos2γ=1.