网站首页  词典首页

请输入您要查询的字词:

 

字词 固体密度
类别 中英文字词句释义及详细解析
释义

固体密度


1.固体密度基准

固体密度基准是由物理化学性能优良、密度特性稳定的材料(如不锈钢、玻璃陶瓷或单晶硅)制成的,具有正规几何形状(如立方体、圆柱体或球体等)的一种实心浮体,通过直接测量浮体的质量和线性尺寸来确定其密度。这种通过绝对测量法建立起来的密度基准,既可复现和保存固体密度单位量值,也可复现和保存液体密度单位量值,故又称之为密度统一基准,它是当前统一固体和液体密度单位量值的最高依据。

国际上已建立的球体状单晶硅的固体密度基准,其不确定度达到3×10-7g/cm3,标准温度为20℃。用它传递密度量值时,均采用液体静力衡量法,其装置主要由液体静力电子天平、基准球自动取放系统、恒温系统及空气密度测定装置等组成。在考虑到各种传递误差后,固体和液体密度量值的不确定度可达1×10-6

2.液体静力衡量法测量固体密度

众所周知,浸没于静止液体中的物体,由于受到垂直向上的浮力的作用,使称得的质量比空气中的要小。根据阿基米德定律,浮力的大小等于被物体所排开的液体的重力。所以,这部分减少的质量应为:

m1-m2=Vρ (5.4-8)

式中 m1、m2——分别为在空气中和液体中称得的质量;

V——物体的体积;

ρ——液体的密度。

利用这个基本原理,借助于天平进行若干次衡量后,就可以测量出固体和液体的密度。在式(5.4-8)中,没有考虑空气浮力的影响。在进行较准确的测量时,还应将空气浮力和温度的影响计算进去。

由于浸没于液体中的物体受到液体静压力的作用,所以这个方法也称为“液体静力衡量法”,图5.4-1所示为其原理图。通常选用蒸馏水作为密度已知的液体,这是因为其体胀系数很小,对蒸馏水密度的研究也比其它液体更为透彻。隔离室通常是一个恒温槽,以保证样品和液体温度的恒定和均匀。用电子天平或如图所示的等臂天平,分别在空气中和液体中衡量样品后.可以得到两个方程:

图5.4-1 液体静力衡量法原理图

m-VθD1=m1-V1I)1 (5.4-9)

m-Vjdj=m2-V2D2 (5.4-10)

式中 m——样品质量;

m1,m2——分别为空气中和蒸馏水中称得的样品质量;

Vθ,V1——分别为样品在θ℃(空气中)和t℃(蒸馏水中)的体积;

D1,D2——分别为空气中和蒸馏水中衡量时空气的密度;

V1,V2——分别为空气中和蒸馏水中衡量所用砝码的体积;

dt——蒸馏水在t℃时的密度。

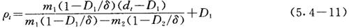
从式(5.4-9)和(5.4-10)经计算和化简后,可以求得:

式中 ρt——样品在t℃时的密度;

δ——衡量时所用砝码材料的密度。

上式表明,ρt与空气中衡量时的温度无关。若在空气中和蒸馏水中衡量时空气密度的变化不大,或者准确度允许,则可取D1和D2的平均值D来代替它们。此时式(5.4-11)即可化简为:

式(5.4-12)表明,此时ρt与衡量用砝码材料的密度无关。只要将有关的量代入式(5.4-11)或(5.4-12),即可求得固体的密度。

【参考文献】:

[1]鲁绍曾主编,现代计量学概论第11章力学计量,中国计量出版社,1987。

[2]王江主编,现代计量测试技术第16章力学计量技术,中国计量出版社,1990。

[3]王立吉,现代计量测试发展动态,现代计量测试,1993;1∶3~9。

[4]鲁绍曾主编,计量学辞典,中国计量出版社,1995。

[5]施昌彦,王大充,液压式标准测力机的有效面积和压力波动,计量学报,1986;4∶296~304。

[6]施昌彦,测力称重计量的某些发展动向,现代计量测试,1994;6∶2~4。

[7]天津市计量管理局编,力学计量,中国计量出版社,1985。

[8]国家技术监督局编,国家计量检定系统,中国计量出版社,1991。

随便看

 

文网收录3541549条中英文词条,其功能与新华字典、现代汉语词典、牛津高阶英汉词典等各类中英文词典类似,基本涵盖了全部常用中英文字词句的读音、释义及用法,是语言学习和写作的有利工具。

 

Copyright © 2004-2024 Ctoth.com All Rights Reserved
京ICP备2021023879号 更新时间:2025/10/17 23:59:17