网站首页  词典首页

请输入您要查询的字词:

 

字词 圆曲线测设元素的计算
类别 中英文字词句释义及详细解析
释义

圆曲线测设元素的计算


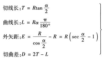
如图11-1所示,已知路线中线交点(JD)的偏角为α和圆曲线的半径为R,要计算的圆曲线的元素有:切线长T、曲线长L、外矢距E和切线长度与曲线长度之差(切曲差)D。各元素可以按照下式计算。

随便看

 

文网收录3541549条中英文词条,其功能与新华字典、现代汉语词典、牛津高阶英汉词典等各类中英文词典类似,基本涵盖了全部常用中英文字词句的读音、释义及用法,是语言学习和写作的有利工具。

 

Copyright © 2004-2024 Ctoth.com All Rights Reserved
京ICP备2021023879号 更新时间:2025/10/17 16:06:41