设X~N(μ,σ2)。当生产批量大,数据为计量型的正态数据时,想判断生产过程的均值是否处于或保持在标准所要求的水平时,可使用均值控制图,即
-图。作
-图的步骤是:
(1)抽取生产正常或被认为质量好的一批产品(不少于100件);
(2)逐件测出所需的质量指标数据。
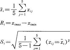
(3)将数据分成k个样本组,一般k≥25,每个样本容量为5,即每组5个数据。
(4)分别求出第i组的均值
、极差Ri或标准差Si

以上各式中,i=1,2,…k。如果每组不是5个数据,而是第i组为ni个,则以上各式中的“5”应改成ni,一般n是2-10之间的自然数,但较理想的是n=5。
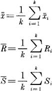
(5)根据下列公式求出各特征数值。

(6)进一步计算出控制图各条线在图纸中的位置。

以上各式中的A1可查表11-5,A2查表11-6得到。
(7)将各条线画到适当的格纸上去。
(8)将各组的均值
画到控制图上。如果没有发现异常排列,则可将控制图用于生产现场进行控制。