网站首页  词典首页

请输入您要查询的字词:

 

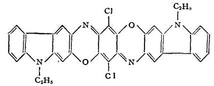
字词 塑料紫RL(永固紫RL)
类别 中英文字词句释义及详细解析
释义

塑料紫RL(永固紫RL)


【结构式】:

【释文】:

性质 蓝光紫色粉末。耐晒7~8级,耐热200℃,吸油量38%。

用途 本品可作为塑料用紫色着色剂。耐光性、耐热性、耐溶剂性优良,迁移性小,适用于聚氯乙烯等多种塑料。

国内生产厂 天津染化六厂

上海染化一厂

国外商品名

随便看

 

文网收录3541549条中英文词条,其功能与新华字典、现代汉语词典、牛津高阶英汉词典等各类中英文词典类似,基本涵盖了全部常用中英文字词句的读音、释义及用法,是语言学习和写作的有利工具。

 

Copyright © 2004-2024 Ctoth.com All Rights Reserved
京ICP备2021023879号 更新时间:2025/10/17 21:20:07