网站首页  词典首页

请输入您要查询的字词:

 

字词 复烤过程中的技术检验
类别 中英文字词句释义及详细解析
释义

复烤过程中的技术检验


(一)取样

1.含水率检验取样

(1)初烤烟含水率取样:与烤烟含水率取样方法相同,见第一章一之(一)。

(2)预回潮后取样。

(3)润后叶基、叶尖取样。

(4)冷房含水率取样:挂杆复烤每2h从冷房窗口取出2杆烟,从每杆两边各取一把,解把后从每把烟的两侧及中心各抽取1片整叶放入试样瓶内。打叶复烤在冷房取样间每次左右各取一个试样,放入试样瓶中。取样量为100g。

(5)烤后含水率取样:每小时从烤机出料口分左、中、右三个部位各取一个试样放入试样瓶中,取样量为100g。

(6)成品烟含水率取样:成品烟入库7d后检验含水率。取样时每垛烟的对角线各取1包。对于把烟,从每包烟内左、中、右抽出3把,从每把烟两侧及中心各抽1片整叶,放入密闭试样瓶内。对于片烟,从每包烟内左、中、右抽检样3~5处。取样量为100g。

2.打叶质量检验取样

梗叶分离后每小时随机截留片烟和烟梗各2kg。

3.沙土检验取样

与烤烟沙土取样方法相同,见第一章一之(四)。

(二)含水率检验

与烤烟含水率检验方法相同,见第一章一之(三)。

(三)沙土检验

与烤烟沙土检验方法相同,见第一章一之(四)。

(四)叶片尺寸测定

1.原理

将叶片用不同尺寸的筛网筛分,分出不同尺寸的叶片,然后分别称量,经计算得到各档次叶片所占的比例。

2.仪器

叶片振动分选筛:叶片分选筛网规格为1目/25.4mm2、2目/25.4mm2、4目/25.4mm2、8目/25.4mm2

3.方法

将试样1kg左右称量后均匀地铺在分选筛上进行筛分,然后收集1目/25.4mm2筛网和2目/25.4mm2筛网上叶片,8目/25.4mm2筛网下碎片,并分别称量。

4.计算

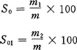
按下式计算大片率和碎片率:

式中 S0——大片率(大于12.5mm2的叶片率),%;

S01——碎片率(小于3mm2的碎叶片率),%;

m1——大于2目/25.4mm2网孔叶片质量,g;

m2——8目/25.4mm2网下叶片质量,g;

m——总试样叶片质量,g。

(五)叶中含梗率测定

1.原理

利用仪器测定叶中含梗率,是利用叶中含梗检测机,将残留在叶片中的烟梗进一步分离出来或手工将叶片中的烟梗完全挑出来,经称量后,计算出叶中含梗的比例。

2.仪器

叶中含梗检测机。

台秤:感量为1/10g。

3.方法

叶中含梗检测机测定:试样质量约2kg,将试样称量,均匀地铺在叶中含梗检测机的喂料带上,喂入打辊、打后叶片经风分器,将不含梗叶片分出,带梗叶片经风分器下部振动筛重新喂入打辊再次打叶,最终将梗上的叶片分离干净,将卸出的烟梗称量。打叶时间需5min左右。

人工方法测定,试样质量不少于500g,将叶片中的烟梗完全挑出,然后称量。

4.计算

按下式计算叶中含梗率:

式中 T——叶中含梗率,%;

mt——净梗质量,g;

m——试样总质量,g。

(六)梗中含叶率测定

将试样称取500g,撕下梗上带有的叶片,并挑出梗中混有的叶片。完全挑净后将叶片称量,按下式计算梗中含叶率:

式中 L——梗中含叶率,%;

mL——叶片质量,g;

m——试样总质量,g。

(七)物料温度测定

1.散状物料温度测定

在规定取样点取出试样,迅速插入点温计。测量温度时应采用保温措施,避免在测量时物料的热量损失而导致测量误差。

2.成包烟叶温度测定

这项测定是指对真空回潮后烟包、打包后的成品烟包(箱)、晾后烟包及烟梗包的温度测量。测定时按规定的时间和取样点,将点温计插入指定的烟包中心,一定时间后读数即为烟包温度。

随便看

 

文网收录3541549条中英文词条,其功能与新华字典、现代汉语词典、牛津高阶英汉词典等各类中英文词典类似,基本涵盖了全部常用中英文字词句的读音、释义及用法,是语言学习和写作的有利工具。

 

Copyright © 2004-2024 Ctoth.com All Rights Reserved
京ICP备2021023879号 更新时间:2026/1/17 10:50:54