网站首页  词典首页

请输入您要查询的字词:

 

字词 外汇贷款业务的核算
类别 中英文字词句释义及详细解析
释义

外汇贷款业务的核算


目前,外汇银行办理的外汇贷款种类很多,诸如短期外汇贷款、银团贷款、特种外汇贷款、买方信贷贷款、出口押汇、“贴现”、转贷款、外汇抵押人民币贷款,以及各种建设贷款、长期贷款、投资性贷款等。下面介绍几种主要的外汇贷款:

一、短期外汇贷款

凡生产出口商品,有偿还外汇能力的企业,都可以申请短期外汇贷款。借款单位应填具申请表向银行提出申请,申请使用的贷款额度,应将贷款使用期限内应付的国外费用和银行手续费匡算在内。

1.贷款的发放

借款单位申请使用贷款经批准后,应立即向银行订立借款契约,据以开立外汇贷款帐户。对同一单位签有两份或数份借款契约时,应按签立的借款契约分别设户。各帐户应编列帐号,并使用专用格式的帐页。以中国银行为例,外汇贷款帐户使用专用格式,式样如图表4-6-1所示。

图表4-6-1 短期贷款分户帐

短期外汇贷款的借款货币由各外汇银行根据本身的资金情况而定,一般有美元、英镑、日元、德国马克、港币等。对外支付和偿还贷款需用其他货币时,按套汇办理。短期外汇贷款通过“短期贷款”科目进行核算,按借款单位的不同契约分设帐户。

2.借款单位使用贷款外汇

使用外汇贷款的单位一般委托外贸公司代办进口,并使用信用证或进口代收等方式进行结算。当经办行接到国外联行或代理行寄来单据,经有关外贸公司审核同意付款,由代办进口的外贸公司或银行套写“短期贷款”借款凭证,一式五联,各联用途如下:

第一联 借款凭证,借款单位签章,代短期贷款科目借方传票;

第二联 短期贷款备查卡(由经办行留存);

第三联 短期贷款支款通知(交借款单位);

第四联 短期贷款支款通知“副本”,交负责归还外汇额度的有关单位;

第五联 短期贷款支款通知“副本”,交代办进口的外贸公司。

银行在审核借款凭证有关内容与借款契约规定相符后,应编制如下会计分录:

借:短期贷款 外币

贷:存放同业款项 外币

或贷:存放联行款项 外币

3.贷款利息计算

短期外汇贷款实行浮动利率,每月公布一次。计息方法是:浮动利率的变动时期分段计算,应收利息记入贷款帐户的利息栏内,按季向借款单位算收利息一次,利息计入本金。结息日为3月20日、6月20日、9月20日、12月20日,结息日结息后至月底的利息并入下月计息,分别按下一个月的利率计算。

结息日的核算手续如下:

结算日按照各贷款帐户“利息栏”内每月计算的利息,再加计当月1日至20日的利息,算出结息日共计应收利息,填制“短期贷款结息凭证”,一式两联:

第一联 短期贷款科目借方传票;

第二联 结息通知单,交借款单位。

其会计分录如下:

借:短期贷款 外币

贷:利息收入 外币

4.贷款的偿还

短期外汇贷款必须按期偿还,但也可以提前分批偿还。借款单位如果不是直接以外币偿还,而是将其产品委托外贸公司出售所得人民币来偿还时,必须持有外贸公司签发的“还汇凭证”办理。“还汇凭证”是外贸公司为借款单位偿还外汇额度的证明文件,其内容包括:编号、借款单位名称、供销合同号、外汇贷款使用日期、契约编号、实际用汇金额、应付本息金额等项目。“还汇凭证”一式两份,一份交借款单位持向银行办理还款手续;一份由签证的外贸公司送交银行,凭以控制借款单位及时办理还款。借款单位归还贷款后,以上两份“还汇凭证”,经办行留下一份作为贷记“短期贷款”科目传票附件;一份盖章后交有关外贸公司作为已扣还外汇额度的通知。

借款单位归还贷款时,还应套写“短期贷款”还款凭证,一式七联,各联的用途如下:

第一联 借款单位人民币帐户借方传票,或作为借款单位交付人民币凭证的附件;

第二联 “外汇买卖”科目借方传票(外币);

第三联 “外汇买卖”科目贷方传票(人民币);

第四联 “短期贷款”科目贷方传票;

第五联 偿还短期外汇贷款收帐通知,交借款单位;

第六联 “利息收入”贷方传票(外币);

第七联 卖出外汇统计联。

还款日还应计算出应收利息,将本息一并收回,会计分录如下:

借:有关存款帐户 人民币

贷:外汇买卖 人民币

借:外汇买卖 外币

贷:短期贷款 外币

贷:利息收入 外币

利息的计算方法是将结息期以后每月计算的利息加上归还贷款当月实际使用天数(不包括还款日)的应计利息。借款单位直接以外汇偿还时毋须通过“外汇买卖”科目。

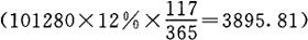
[例5]某企业根据外汇银行批准使用的短期外汇贷款额度,委托外贸公司开出进口信用证US$100000.00购买加工出口项目的原材料。单到国内审单相符后对外付汇。外汇银行于3月5日,根据借款契约发放贷款支付纽约联行进口货款,同时加收1‰的原币手续费和预收国外银行费用US$280.00,加总算出实际贷款总额,一并通过“短期贷款”科目收帐,会计分录为:

借:短期贷款——××户 US$101280.00

贷:存放联行款项 US$101280.00

贷款期限为半年,采用固定利率,年利率为12%,6月20日结息,转入借款单位“短期贷款”帐户,会计分录为:

借:短期贷款——××户 US$3895.81

贷:利息收入 US$3895.81

贷款到期日,借款单位持外贸公司的“还汇证明”从该单位的“活期存款”帐户结汇归还全部本息,会计分录为

借:活期存款——××户 ¥628848.49

贷:外汇买卖(汇卖价583.14%) ¥628848.49

借:外汇买卖(汇卖价583.14%) US$107838.34

贷:短期贷款——×× US$105175.81

贷:利息收入 US$2662.53

以上只是银行付汇结汇时的分录,信用证项下的其他会计分录从略。

二、买方信贷外汇贷款

1.买方信贷概述

出口方国家的银行为了鼓励本国商品的出口,增加本国商品出口的竞争力而提供的信贷,称为出口信贷。出口信贷有两种形式:卖方信贷和买方信贷。

卖方信贷是指出口国的银行为出口商提供贷款,以便出口商使用延期付款等方式对进口商进行资金融通,以加强本国出口商品在国际市场上的竞争能力,从而达到扩大出口的目的。出口商所承担的银行贷款利息,一般都打入远期付款的货价之中,或者由进口商单独加付。

买方信贷是指出口国的银行直接贷款给进口方或进口方的银行,以便进口方利用这笔款项向提供贷款的国家购买技术、设备,以及支付有关的劳务费用。买方信贷的期限较长,利率较低,但一般只限于用来购买提供贷款国家的资本货物和与贷款项目相关联的商品,是由出口方国家为了支持本国商品的出口而通过银行提供的。

买方信贷项下向国外银行的借入款,由总行集中开户,使用“借入买方信贷”科目进行核算。各地分行对使用贷款的单位发放,由有关分行开户使用“买方信贷外汇贷款”科目进行核算,并按借款单位分别设置明细科目。由此可见,总行与国外银行之间是债务债权关系,总行是债务人,国外银行是债权人;分行与借款单位之间是债权债务关系,分行是债权人,借款单位是债务人。总行与分行之间是资金调拨的关系,总行向国外借入买方信贷款项,下拨给各分行,由各分行贷给借款单位;各分行发放买方信贷外汇贷款后负责按期收回本息,上缴总行,再由总行负责对外偿还本息。

2.对外签订协议

总行根据党和国家的方针、政策统一对外谈判,签订买方信贷总协议并通知各分行和有关部门执行。目前,中行总行已先后与英、法、意、加拿大等10余个国家签订了买方信贷协议,总数达数十亿美元。总协议项下每个项目的具体信贷协议或按贸易合同逐笔申请的贷款,可由总行对外谈判签订,也可由总行授权分行谈判签订。不论总行或分行对外谈判签订,均由总行按具体分协议商定的金额通过“买方信贷用款限额”表外科目进行控制,使用时,逐笔按金额转销此表外科目。

3.支付定金

买方信贷一般只贷给合同总额的85%,其余15%包括不少于5%的定金要以现汇支付。定金的支付有以下三种情况:

(1)借款单位有现汇,用现汇支付,其会计分录为:

借:活期存款-活期外汇存款 外币

贷:存放同业款项或其他科目 外币

(2)借款单位有外汇额度,可用人民币向银行办理结汇对外支付,其会计分录为:

借:活期存款-×× 人民币

贷:外汇买卖(汇卖价) 人民币

借:外汇买卖(汇卖价) 外币

贷:存放同业款项或其他科目 外币

(3)借款单位没有外汇、申请用短期外汇贷款对外支付,其会计分录为:

借:短期贷款-短期外汇贷款 外币

贷:存放同业款项或其他科目 外币

4.使用贷款

买方信贷项下的进口支付方式一般采用信用证,对外进口开证按有关进口业务会计核算手续办理。

(1)分行发放买方信贷外汇贷款。当各地分行接到国外代理行寄来的我信用证项下有关单据,经审核无误,并经借款单位承付对外支付时,以“联行往来”贷方报单划收总行帐,会计分录为:

借:买方信贷外汇贷款-××户 外币

贷:存放联行款项-总行 外币

总行收到各分行划来的“联行往来”贷方报单后,办理对外支付,具体分为二种情况:

①如果付款的代理行与提供买方信贷的银行是同一家银行,就可立即动用买方信贷资金对外付款,其会计分录为:

借:联行存放款项-×分行 外币

贷:借入买方信贷款-×银行 外币

同时,付:买方信贷用款限额 外币

②如果付款的代理行与提供买方信贷的银行不是同一家银行,则应贷记“存放同业款项”,再由提供买方信贷的银行抵偿,其会计分录为:

借:存放同业款项 外币

贷:借入买方信贷款 外币

(2)借款单位在北京时,由总行营业部直接发放买方信贷外汇贷款,其会计分录为:

借:买方信贷外汇贷款-借款户 外币

贷:借入买方信贷款-×银行 外币

(3)如果进口单位有现汇,经与银行联系谈妥后也可使用买方信贷外汇贷款。如借款单位在分行所在地,分行办理结汇时,其会计分录为:

借:活期存款-××户 人民币

贷:外汇买卖(汇卖价) 人民币

借:外汇买卖(汇卖价) 外币

贷:存放联行款项——总行 外币

同时,以“联行往来”贷方报单寄往总行,报单摘要栏内注明买方信贷项下款项,总行收到报单后,对外支付,其会计分录为:

借:联行存放款项-×分行 外币

贷:借入买放信贷款-×银行 外币

如借款单位在北京,则由总行直接发放。

在做法上,进口单位按一般进口手续办理结汇,并按规定收取手续费。银行负责办理使用买方信贷的手续,承担使用买方信贷的利息和有关费用。这样做可以充分利用买方信贷以节省现汇的支出。

5.贷款本息的偿还

买方信贷项下借入贷款本息的偿还,由总行统一办理。

(1)总行对外偿还贷款本息。总行应按照买方信贷协议中规定的利率计算利息,对于国外贷款行寄来的利息清单,应认真核对,并按规定及时偿付本息。总行对外偿还本息时,应编制如下分录:

①支付利息时,记:

借:利息支出-借入款利息支出 外币

贷:存放同业存款-×银行 外币

②偿还本金时,记:

借:借入买方信贷款 外币

贷:存放同业存款-×银行 外币

(2)借款单位偿还贷款本息。银行对国内借款单位,应按照借款契约规定,计算借款利息,并按期收回贷款本息。

①借款单位有外汇额度或交来外贸还汇凭证,以人民币办理结汇偿还本息,并按规定支付结汇手续费时,会计分录为:

借:活期存款——××户 人民币

贷:外汇买卖(汇卖价) 人民币

贷:手续费收入 人民币

借:外汇买卖(汇卖价) 外币

贷:买方信贷外汇贷款——××户 外币

贷:利息收入 外币

②借款单位以外汇偿还,并按规定以原币支付手续费时,会计分录为:

借:活期存款——活期外汇存款 外币

贷:买方信贷外汇贷款 外币

贷:利息收入 外币

贷:手续费收入 外币

如果借款单位到期不能归还贷款,应按照契约规定的到期日,将贷款本息转入“短期贷款——短期外汇贷款”科目进行核算,并按短期贷款利率计息。对贷款到期应收的利息按贷款原订利率折算后,可一并转入。对转入短期贷款后仍未如期归还的,应采取有效措施监督借款单位归还贷款。

三、银团贷款

1.银团贷款概述

银团贷款,又称“辛迪加”贷款,是由一家或几家银行牵头,多家国际商业银行或商人银行作为贷款人联合经办的一种贷款业务。它始于60年代,现已成为国际中长期贷款市场的一个重要组成部分。这种贷款的特点是:金额较大,专款专用,期限较长、结构复杂。贷款金额达数千万甚至几亿美元,期限少则2-3年,最多可达15年,一般为5-10年。贷款以美元为主要货币,也可用欧洲马克等,同一笔银团贷款可使用多种货币。借款人分为两类:一类是政府及其附属机构,另一类是私人公司企业。对私人贷款收益大但风险也大,对政府贷款风险相对要小。参加银团贷款的银行按其在银团中的地位和作用,可分为牵头行、副牵头行、代理行、参加行。

我国的外汇银行通过银团贷款从国外筹措资金支持国内企业,不但可减少我国外汇银行的外汇贷款风险,而且可以从中收取一定的费用,增加外汇收入。此外,由于银团贷款分散了各参加银行的风险和贷款份额,从而使其能够参与更多的贷款活动,扩大经营范围和影响,密切与其他银行的联系,提高在国际市场的信誉和知名度。因此,银行贷款在我国的金融市场上虽然刚刚兴起,但却是有很大发展前途的一种外汇筹资方式。

2.利息和费用计算

在目前国际利率动荡的情况下,银团贷款基础利率的选择也趋于多样化。以欧洲美元为借款单位的银团贷款,采用伦敦银行同业拆放利率为基础,再加上一个加息率,作为贷款利率。同一笔银团贷款可以有几种不同的利率。由于近年来的国际利率水平变化频繁,一般银团贷款的利率每半年调整一次。

银团贷款的借款人除支付利息费用外,还要负担以下几项费用:

(1)管理费。一般按贷款总额的一定比例(0.25-0.5%)收取,由牵头行和借款人直接协调,可在签定贷款协议时或第一次支取款项时支付,也可在每次支款时按支款额支付。管理费分为两部分:一部分作为参加贷款的参加费,由牵头行按参加份额付给参加行,一般为参加额的0.125-0.25%;另一部分是牵头行自留的贷款担保费;如有多余款项作为结存,由牵头行和联合牵头行按所承担份额分配。

(2)代理费。银团贷款的代理人与借款人在业务联系中所发生的费用支出,如电报费、电传费、办公费等,由借款人负担。借款人与牵头行协商确定金额,只要贷款没有还清,借款人每年就要按商定金额支付一次代理费。

(3)杂费 牵头行与借款人正式签定协议前所发生的费用,如车马费、律师费等项开支,由借款人负担。借款人应按牵头行提出的帐单一次支付。

(4)承担费。是指贷款人按照协议准备资金,而借款人未按期支取时,对贷款人提供补偿性质的费用,通常为贷款金额的0.125-0.25%。承担费的支付办法有两种:①在贷款期内确定一个承担期,借款人在承担期内应提完全部贷款,逾期未提用的贷款即自动注销。在承担期内,借款人对应提而未提的贷款要支付承担费。承担费的起算点,有的商定从签订协议时开始支付,有的商定从签定协议后一个或两个月开始支付。②有些贷款项目在签订协议时商定,在承担期内确定用款计划,对未按期提用的贷款收0.375%的承担费。

(5)迟付本息的罚款。贷款协议中有专门条款规定,如借款人不按期归还本息时,予以罚款。

此外,参加银团贷款各存款行所得利息应按我国税法规定,在每次支付的款项中扣缴其应交纳的所得税,如税务局同意免征者除外。

3.银团贷款的会计核算手续

我国外汇银行作为参加行时,帐务处理比较简单,可比照一般外汇贷款核算手续处理。现简要介绍我外汇银行作为牵头行或代理行的银团贷款会计核算方法。

外汇银行为反映银团贷款资金往来,在“中长期贷款”科目下设“银团贷款资金往来”明细科目,并按银团贷款协议中规定的借款单位和参加银团贷款各存款行分设帐户。在“利息收入”科目下设“银团贷款利息收入”明细科目,反映银行办理银团贷款所得的收入。转帐分录:

(1)收到参加银团贷款各存款行拨来的资金时:

借:存放同业款项-×银行 外币

贷:中长期贷款——银团贷款-×银行 外币

(2)向借款人收取银团贷款管理费、承担费、代理费及各项杂费,并将管理费按份额分配给参加银团贷款的各存款行,其会计分录为:

借:活期存款——借款单位 外币

贷:利息收入-银团贷款利息收入 外币

借:利息收入-银团贷款利息收入 外币

贷:同业存放款项-×银行 外币

(3)按合约发放贷款时,其会计分录为:

借:中长期贷款——银团贷款-×银行 外币

贷:活期存款——借款单位 外币

(4)借款单位按合约规定归还贷款本息

当收回本金时,其会计分录为:

借:活期存款——借款单位 外币

贷:中长期贷款——银团贷款 外币

收回贷款本金后将其中部分拨还参加银团贷款各存款行,其会计分录为:

借:中长期贷款——银团贷款 外币

贷:同业存放款项——×银行 外币

当收取贷款利息,并将其中部分按份额拨给参加银团贷款各存款行,其会计分录为:

借:活期存款——借款单位 外币

贷:利息收入——银团贷款利息收入 外币

借:利息收入——银团贷款利息收入 外币

贷:同业存放款项——×银行 外币

如贷款合约规定贷款本息一并分次收回时,应按合约规定的每次偿还的本息转帐。

如果借款单位在外汇银行没有开设外汇存款帐户时,应以当天外汇买入价折算人民币后入帐。

随便看

 

文网收录3541549条中英文词条,其功能与新华字典、现代汉语词典、牛津高阶英汉词典等各类中英文词典类似,基本涵盖了全部常用中英文字词句的读音、释义及用法,是语言学习和写作的有利工具。

 

Copyright © 2004-2024 Ctoth.com All Rights Reserved
京ICP备2021023879号 更新时间:2025/10/18 12:06:50