1.仪器下沉和水准尺下沉
(1)仪器下沉
在读取后视读数和前视读数之间若仪器下沉了△,由于前视读数减少了△从而使高差增大了△(图2-24)。在松软的土地上,每一测站都可能产生这种误差。当采用双面尺或两次仪器高法时,第二次观测可先读前视点B,然后读后视点A,即以“后前前后”的顺序读数,则可使所测高差减小,两次高差的平均值可消除一部分仪器下沉的误差。用往测和返测时,同样也可消除部分的误差。

图2-24 仪器下沉的影响
(2)水准尺下沉
在仪器从一个测站迁到下一个测站的过程中,若转点下沉了,则使下一测站的后视读数偏大,使高差也增大。在同样情况下返测,则使高差的绝对值减小。所以,取往返测的平均高差可以减弱水准尺下沉的影响。
当然,在进行水准测量时,应选择坚实的地点安置仪器和转点,转点须垫上尺垫并踩实,以避免仪器和水准尺的下沉。
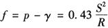
2.地球曲率和大气折光的误差
(1)地球曲率引起的误差
理论上水准测量应根据水准面来求出两点的高差(图2-25),但视准轴是一直线,因此使读数中含有由地球曲率引起的误差p:

式中 S——视线长;
R——地球的半径。

图2-25 地球曲率和大气折光的影响
(2)大气折光引起的误差
水平视线经过密度不同的空气层被折射后,一般情况下会形成向下弯曲的曲线,它与理论水平线的读数之差,就是由大气折光引起的误差γ(图2-25)。实验得出:大气折光误差比地球曲率误差要小,是地球曲率误差的K倍,在一般大气情况下,K=1/7,故:
所以,水平视线在水准尺上的实际读数位于b′,它与按水准面得出的读数b之差,就是地球曲率和大气折光总的影响值f。故:

当前视、后视距离相等时,这种误差在计算高差时可自行消除,但是离近地面的大气折光变化十分复杂,即使保持前视后视距离相等,大气折光误差也不能完全消除。由于f值与视线长度的平方成正比,所以,限制视线的长可以使这种误差大为减小。此外,使视线离地面尽可能高些也可减弱折光变化的影响。
3.自然环境的影响
除了上述各种误差来源外,测量工作中的影响也会带来误差,如风吹、日晒、温度的变化和地面水分的蒸发等引起的仪器状态变化、视线跳动等。所以,观测时应注意自然环境带来的影响。为了防止日光暴晒,仪器应打伞保护,无风的阴天是最理想的观测天气。