二元函数的极值 设函数z=f(x,y)在点(x0,y0)的某邻域内有定义,对于该邻域内异于(x0,y0)的点(x,y),若满足不等式f(x,y)<f(x0,y0),则称f(x0,y0)是该函数的极大值;若满足不等式f(x,y)>f(x0,y0),则称f(x0,y0)是该函数的极小值.
极大值、极小值统称为极值.
使函数取得极值的点称为极值点.
多元函数极值的必要条件 设函数z=f(x,y)在点(x0,y0)具有偏导数,且在点(x0,y0)处有极值,则它在该点的偏导数必然为零,即
fx(x0,y0)=0,fy(x0,y0)=0.
如果三元函数u=f(x,y,z)在点P(x0,y0,z0)具有偏导数,则它在P(x0,y0,z0)有极值的必要条件为偏导数必然为零,即
fx(x0,y0,z0)=0,fy(x0,y0,z0)=0,fz(x0,y0,z0)=0.
驻点 使一阶偏导数同时为零的点,称为函数的驻点.
多元函数极值的充分条件 设函数z=f(x,y)在点(x0,y0)的某邻域内连续,且有一阶及二阶连续偏导数,又
fx(x0,y0)=0,fy(x0,y0)=0.
令
fxx(x0,y0)=A,fxy(x0,y0)=B,fyy(x0,y0)=C,
则f(x,y)在点(x0,y0)处是否取得极值的条件为:
(1)AC-B2>0时具有极值,当A<0时有极大值,当A>0时有极小值;
(2)AC-B2<0时没有极值;
(3)AC-B2=0时可能有极值,也可能没有极值,还需另作讨论.
求具有二阶连续偏导数的函数z=f(x,y)的极值的一般步骤
(1)解方程组fx(x,y)=0,fy(x,y)=0,求出实数解,得驻点;
(2)在每一个驻点(x0,y0)处,求出二阶偏导数的值A,B,C;
(3)定出AC-B2的符号,再判定是否是极值.
求具有二阶连续偏导数的多元函数的最值的一般方法 将函数在D内的所有驻点处的函数值及在D的边界上的最大值和最小值相互比较,其中最大者即为最大值,最小者即为最小值.
在实际问题中,常运用下面的结论:
(1)若f(p)在某区间(包括各种区间)内连续且仅有一个可能极值点p0,则当p0是极大(小)值点时,f(p0)就是该函数在该区间的最大(小)值.
(2)若由分析得知,确实存在最大(小)值,又在论及的区间内仅有一个可能极值点p0,则f(p0)就是该函数在该区间的最大(小)值.
条件极值 对自变量有附加条件的极值,称为条件极值.
拉格朗日乘数法
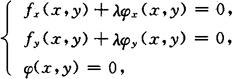
(1)求解函数z=f(x,y)在条件φ(x,y)=0下的可能极值点,步骤如下:
先构造函数F(x,y)=f(x,y)+λφ(x,y)(称为目标函数),其中λ为某一常数,可由

解出x,y,λ,其中(x,y)就是可能的极值点.
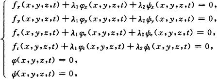
(2)(自变量多于两个的情况)求解函数u=f(x,y,z,t)在条件φ(x,y,z,t)=0,ψ(x,y,z,t)=0下的可能极值点,步骤如下:
先构造函数F(x,y,z,t)=f(x,y,z,t)+λ1φ(x,y,z,t)+λ2ψ(x,y,z,t)(称为目标函数),其中λ1,λ2均为常数,可由

解出x,y,z,t,λ1,λ2,其中(x,y,z,t)就是可能的极值点.