网站首页  词典首页

请输入您要查询的字词:

 

字词 多普勒超声应用
类别 中英文字词句释义及详细解析
释义

多普勒超声应用


一、基本原理

1.血流动力学 介绍下述几个基本概念:

(1)动力 胎儿血流动力具有二大来源:

1)胎心收缩功能。

2)血管壁弹性。

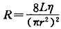
(2)阻力 血流在血管中流动时受到阻力的作用。阻力(R)由血管长度(L)、血液黏滞度()、血管截面积(πr2)等因素决定。即下式表示:

脐血流取样:

A点:脐带胎盘处,长度(L)最短,阻力也最小。

B点:脐带中段。

C点:脐带胎儿处。

血管长度和血液黏滞度与血流阻力成正比,而与血管截面积的平方成反比,决定血流阻力的主要因素是血管半径(半径改变1倍,阻力改变16倍)。

(3)血管内血流速度的分布 血管内同一截面内各点的血流速度是不一致的,血管中央的血流速度最快,周边最慢,速度呈连续变化。

血管中央大部分的血流为层流,流体质点以相同的方向作规则的分层流动而无横向交换。管壁粗糙或明显狭窄的血流为湍流,流体成分间相互错杂交换,以多种方向和速度作无规则的运动。管壁处,血流速度近乎为零为轴流,血细胞以翻滚方式前行。从理论上说,在同一时刻的血流频谱图上,血流速度为局限于某一范围的无数速度值的集合。

2.多普勒效应

(1)概念 1842年,克约斯琴·约翰·多普勒发现星球与地球相向运动时,光色紫移,光波频率升高;相背运动时,光色红移,光波频率降低。

这种由于光源和接收器之间相对运动而引起的接收频率与发射频率之间的差别称为多普勒频移,此种物理学效应被命名为多普勒效应(如行进中的火车鸣笛等)。

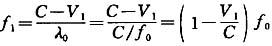
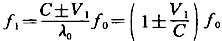
1)波源和接受器相对运动的多普勒效应 波源的发射频率为f0,波长为λ0,波在介质中的传播速度为C波源相对介质的运动速度为V0,接受器接受的频率为f1,接受器相对于介质的运动速度为V1

a.假设波源和接收器都相对于介质静止,即V0=0,V1=0。有公式:

当波源和接收器都相对于介质静止时,接收频率等于发射频率f1=f0,即多普勒频移值为零,不产生多普勒效应。

b.假设波源相对于介质静止,即V0=0,而接收器以速度V1向波源运动,见公式:

若接收器以速度V1背离波源运动,见公式:

综合两种情况见公式:

[当波源所发射的波传播到接收器时,在单位时间里波前继续向前传播的距离为C,同时在单位时间里接受器本身又向波源前进了一段距离V1,这样就使接收器在单位时间里所接收的波数(即接收频率)不再是f0,而是(C+V10。]

c.假设接收器相对于介质静止,即V1=0,波源以速度V0向接收器运动,见公式:

若波源以速度V0背离接受器而运动,见公式:

综合两种情况见公式:

[当波源发出波之后,在单位时间里波前继续向前传播的距离为C,同时由于波源跟在波的后面作同向运动,在单位时间里前进的距离为V0,这样本来分布于距离C上的f0个波数现在要分布于(C-V0)的距离内,相当于把波长压缩了,当波传播到接收器时,波长不再是λ0,而是(C-V0)/f0了。]

d.假设波源和接受器均相对介质而运动,到V1>0V0>0则有公式:

2)探头与血细胞相对运动的多普勒效应

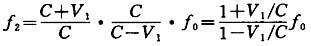
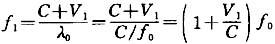
a.当探头发射脉冲波时,探头为波源,发射频率f0,运动速度为零,红细胞为接受器,见公式:

运动速度为V1,红细胞接收频率f1

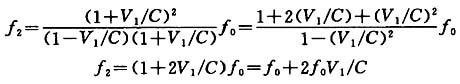
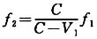
b.超声脉冲波入射到红细胞表面时,部分超声波由红细胞发射回探头,此时红细胞反射脉冲波变为波源,反射波频率仍为f1,波源的运动速度为V1,探头接受反射变为接受器,由于波源运动而接受器静止,运动速度为零,探头的接收频率为f2,见公式:

综合上两式,得到探头发射频率f0与接受频率f2之间的关系,由于红细胞流速V1远小于组织中声速C,故(V1/C)2为高阶小量,略去得公式:

同乘1+V1/C,得

多普勒频移fd等于接收频率与发射频率的差值。

fd=f2-f0=2f0V1/C

以上都假设探头的声束方向与红细胞流动的方向平行,若两者之间有一夹角θ,则红细胞的运动速度V可分解为与声束方向垂直的速度矢量Va和与声束方向平行的速度矢量Vb,只有Vb才产生多普勒频移。见公式:

上式称为多普勒方程,是多普勒超声的一个基本公式。

(2)结论

1)发生多普勒频移的必要条件是声源和接收器之间发生相对运动,多普勒频移与运动速度V成正比。

2)多普勒频移值与声速和血流方向之间的夹角的余弦函数成正比。

3)多普勒频移值与探头发射频率f0成正比,与声速C成反比。

4)求血流速度见公式:

探头频率f0不变,声速C在人体中亦为定值,f0和C可视为常数K。见公式:

若声速平行于血流方向见公式:

V=K·fd

血流的大小取决于多普勒频移的数值,当探头频率f0确定后,即可计算出K值,称为探头定标系数。

3.各式多普勒

(1)脉冲式多普勒

1)脉冲式多普勒的特点 探头发射出一组脉冲波后,在一选择性的时间延迟(Td)后,才开始接受回声信号,并利用其频移成分组成灰阶频谱,人为改变延迟时间Td,可得到不同深度的超声反射信号,这种能力称距离选通或距离分辨,这区域称取样容积,是一个三维体积,宽度取决于超声束宽度(探头频率、探头直径、聚焦技术),长度取决于脉冲群的长度(数目=波长×脉冲波数目),调节范围1~10mm。

2)脉冲式多普勒的缺点 所测流速值受到脉冲重复频率的限制。

脉冲重复频率(PRF):指每秒钟发射的脉冲群的次数,亦称取样频率,一般每秒几千次(几千赫)。

脉冲频率:指每秒钟脉冲波的个数,即探头频率,每秒几百万个(几兆赫)。

如果多普勒频移值超过PRF的1/2,就会出现大小、方向的误差,称为频率失真。

3)增加脉冲式多普勒流速可测值的措施:

a.选择低频探头;

b.减小取样深度;

c.移动零线;

d.增大θ角;

e.增大脉冲重复频率PRF。

(2)连续式多普勒

1)连续式多普勒的特点 使用双晶片探头,一个晶片连续地发射脉冲波,另一个晶片连续地接收反射的回声,无时间延迟,PRF无穷大,最大流速无理论上限制。θ角变化时音频信号和频谱形态变化明显,能探查奇异方向的高速射流。

2)连续式多普勒的缺点

a.缺乏距离选通能力:无法确定声束内回声信号的来源,不能进行定位诊断。

b.探头敏感性较低:双晶片探头每一晶片直径较小。

(3)频率显示技术

1)音频输出 多普勒频移值一般为1~20kHz之间,在人耳可听范围之内,经放大后成为音频信号,并可反映血流性质。音频的高低反映频率的高低,声音的响度反映振幅的高低,区分动静脉,血流速度。

2)图像输出

a.振幅显示 横坐标代表时间,纵坐标代表振幅,以振幅的对数值显示。

b.频谱显示

(a)频移时间 横坐标,代表血流持续时间,单位为秒(s)。

(b)频移大小 纵坐标,代表血流速度的大小,单位为千赫(kHz)和米/秒(m/s)。

(c)频移方向 以频谱中间的零位基线区分,基线以上为正值,表示血流方向朝向探头,可调。

(d)信号振幅 以频谱的灰度加以表示,代表取样容积或探查声束内具有相同流速的血细胞相对数量的多少,速度相同的血细胞数量越多,反向散射信号的强度就越大,频谱的灰度就越深。

(e)频率范围 以频谱在纵坐标上的宽度加以表示,代表某一瞬间取样容积中血细胞速度分布范围,若范围大,频谱增宽。

4.彩色多普勒血流显像

(1)频率分析技术

在彩色多普勒血流显像技术中采用了新的频率分析方法——自相关技术即将不同时刻的信号取值进行相互关联的技术,优点是具有较高的数据处理速度,因为彩色多普勒在图像内设立32~128条扫描线,每条扫描线上约有250~500个取样点。

(2)输出显示方式

1)速度方式 用于显示多普勒信号速度的大小与方向,速度的大小以不同的色调来表示,速度的方向以红蓝两色的区别来表示。

2)方差方式 用于显示多普勒信号的速度分布范围,取样部位流速的范围以自相关器中计算的速度方差表示,如超过仪器所规定的阈值时,血流图像中出现附加的绿色斑点,表明有湍流的存在。

功率方式:用于显示多普勒信号的功率大小,色彩的亮度表示信号功率的大小。

(3)各种技术参数对血流显像的影响

1)探查深度 深度大有利于获得较多的血流信息,但可减少脉冲重复频率和流速测值,增加每一扫描线的信号处理时间。

2)脉冲群的发射数目 数目多有利于增大信号/噪声比值,增加取样点的数目和提高速度轴向分辨率,但可增加每一扫描线的信号处理时间。

3)扫描线数 线数增加有利于增加速度的侧向分辨力,但可增加总的信号处理时间。

4)图像帧数 帧数增多有利于图像的实时显示,但可减少信号处理时间,即减少前三个技术参数的数值。

彩色多普勒的主要优点是提供了血流信号的二维显示和空间定位。

(4)彩色多普勒血流显像限制性

1)高速血流时出现频率失真。

2)湍流显示的假阳性。

3)二维图像质量降低。

4)血流显像的质量受到仪器条件的影响。

二、多普勒超声临床应用

1.脐动脉血流速度指数 目前常用的血流速度参数常用S/D比值,阻抗指数(RI),脉动指数(PI)。

操作员如有较为熟练的操作水准,θ角能保持数秒钟不变,因此θsd=θ。

S为收缩期末最大血流速度,D为舒张期末最大血流速度。见公式:

(1)S/D比值 体现了在心动周期中血流速度变化的幅度。特别是心脏舒张期内血流速度的减速度。

在心脏舒张期,血流主要受循环末梢阻抗的作用而作减速运动,循环末梢阻力越大,血流减速度越大,心脏舒张期内血流速度下降程度也越大,整个心动周期中血流变化幅度也越大,因此S/D比值将明显升高,末梢循环灌注量减少。

但当循环末梢阻抗急剧升高,可使心脏舒张期末最大血流速度方向与收缩期相反,S/D出现负值,就需引用RI和PI。

(2)阻抗指数(RI)

RI=(S-D)/S=1-1/S/D

RI为心动周期中血流速度变化幅度与收缩末期最大血流速度的比例关系。

末梢循环阻抗增大,使速度下降加快,变化幅度(S-D)增大,与收缩末期最大血流速度(S)越接近,RI值越大。

此外,RI将速度的方向关系给予科学处理,“S”、“D”方向相同,(S-D)<S,RI<1;相反(S-D)>S,RI>1。

(3)脉动指数(PI)

PI=(S-D)/Mean

Mean为平均血流速度,是某一速度运动的粒子数(n),与其运动速度(V)之积的总和与总粒子数(N)之比:

Mean=ΣnV/ΣN

PI体现了心脏舒张期血流速度下降幅度与平均速度的比例关系,如末梢循环阻抗越大,则速度下降幅度越大,其与平均速度相差的比例越悬殊,PI值越大,同时PI将速度的方向关系也给予了科学的处理。

但PI值计算复杂,Mean对仪器要求高,目前少用。

在脐动脉阻抗测定中,S/D比值,RI,PI的含义完全一致。三个指数间是可以相互替代的。

2.脐动、静脉血流速度频谱图的识别

(1)标准脐动脉血流速度频谱图 五大特点:

1)在同一幅图中,胎心收缩期末最大血流速度的多普勒频移是一致的,即同一幅图中各波的峰值高度一致。

2)胎心舒张期末向收缩期转变时,频谱图的包络线处的转折是一次性的,即转折期曲线是光滑的。

3)频谱图所包络的面积内声强密度的表达是不同的,一般在图的中部区域声强密度较同边带为低,形成如同“开窗”状的图形。

4)脐血流图底边区域不应有连续的高声强密度反射,即在图形上底边无明显连续信号表达。

5)由于胎盘循环为低阻抗循环,故在正常状态下,胎心收缩期与舒张期的血流方向均为一致,即图形表示均为同一方向。

峰值一致,谷低光滑,中间开窗,底边无光。

(2)脐静脉血流速度频谱图 无明显波动形,峰值位置低。

三、脐动脉S/D值在正常妊娠中的变化

1.正常胎盘血流循环的变化 在正常妊娠中,随着胎盘绒毛的发育增生,绒毛小动脉分级及分支均逐步增加,血管管腔不断扩大,实性绒毛所占比例减少,病理上表现为绒毛的血管/间质比增高,此时胎盘血管管腔总截面积增大,胎盘循环阻抗下降,胎盘血流量增加,临床表现为随孕周增加,S/D值下降。

2.胎盘血流阻抗变化范围 观点很多,一般认为自31周起,脐动脉S/D≥3.4,以后每增加1个孕周,S/D上限下降少于0.1时,提示胎盘绒毛循环阻抗过高,血流灌注不足,胎盘循环功能低下,临床应予警惕。

四、脐动脉S/D值在产科疾病中的变化

1.脐动脉S/D值与妊娠高血压综合征

(1)妊高征时胎盘血流循环的变化 当妊高征时,一旦导致子宫胎盘血管痉挛和(或)发生慢性DIC,均使子宫胎盘血流阻抗增高,血流灌注量下降,致使临床上出现IUGR、胎儿宫内窘迫、死胎等,从脐动脉S/D值或RI、PI等血流指数上则出现异常改变状态。

(2)妊高征时脐血流指数的改变 轻度、中度妊高征胎儿的脐血流波形无显着改变,围产儿预后良好。而重度妊高征者,胎儿脐血流则有显着改变(S/D>3),围产儿预后不良。此时提示妊高征血管痉挛已影响了胎盘绒毛血管的血液循环,将导致IUGR、胎儿宫内窘迫。

2.胎儿宫内生长滞缓(IUGR)

(1)IUGR孕妇胎盘血液循环的改变

1)原因

a.遗传因素、营养因素、有害毒物接触史及慢性疾病等母体因素。

b.畸形、TORCH感染等胎儿因素。

c.胎盘及脐带病理改变。

前两种随医疗技术的提高而逐步减少,后一种比重日益加大,越来越受重视。

2)胎盘病理的主要表现

a.胎盘绒毛及绒毛血管分支数量减少,绒毛发育不良所致胎盘容积减少绒毛血管与间质比减少。

b.绒毛的纤维物质沉积增加,动脉栓塞面积增加。

均可致胎盘有效容量减少,有效血管总截面积下降,增高胎盘血流阻力,使胎盘血液灌注量下降。

3)脐带病理的主要表现 附着部位异常,过长、过细、扭转或真结,可阻碍胎儿-胎盘间血液循环,使脐动脉内血流阻抗增高。

胎盘是胎儿与母体间的惟一通道,当胎盘血流灌注量下降或脐带因素而致胎儿-胎盘间血液循环障碍,均会影响胎儿所能获得的氧和营养物质,造成胎儿宫内生长迟缓,临床表现为脐动脉的血流量下降,血流阻抗增高,S/D值,RI,PI增高。

(2)IUGR患者脐动脉S/D的改变 在IUGR的诊断中,二维超声虽不失为一种有效手段,但其仅依据胎儿形态学的特点,难以全面体现IUGR的性质,诊断准确率较低,而当二维超声与脐动脉S/D值协同诊断IUGR时,可大大提高对IUGR的诊断率,还可进一步了解IUGR的预后和性质,为临床治疗IUGR提供有力依据。因为:

1)二维超声与S/D值均异常者IUGR诊断基本确立。

2)外因性不匀称型IUGR者S/D异常增高;内因性匀称型IUGR者S/D正常。

3)二维超声疑为IUGR,S/D异常增高,宫内治疗效果较差,新生儿预后不良。

但要注意:

a.S/D增高不马上导致IUGR,这里有量变到质变的问题,还有时间效应。

b.轻度胎盘循环阻抗增高时,如能及时纠正,不发生IUGR。

c.重度胎盘循环阻抗增高时,很快发生胎儿宫内窘迫,导致死胎死产,亦不发生IUGR。

3.胎儿宫内窘迫

(1)胎儿宫内窘迫时血流动力学的改变 富氧血的分配决定于动脉所营养器官的血流阻抗及各器官间的阻抗差距,对于阻抗高的器官血液灌注量较少以乏氧血为主,而对于阻抗低的器官则血液灌注量较多,以富氧血为主,低阻抗器官为胎盘、脑、肝,因此进入肝、脑、心、上肢的血含氧量较高。

在胎儿缺氧早期,胎儿体内高阻抗循环器官阻力增大,高于脑及脐动脉,从而脑及胎盘循环血流量增加,如不及时纠正,则进一步造成脑动脉扩张,为维持血容量的平衡,则绒毛小动脉收缩,胎盘血流量下降,形成恶性循环,以至最后出现缺氧缺血性脑病的一系列表现,造成死胎、死产或新生儿重度窒息、死亡等严重后果,即所谓围产儿缺氧时“血流重分配”学说。

(2)胎儿宫内窘迫时脐动脉S/D的改变 在胎儿监护中,S/D值急剧增高,或与其他监护方式结合,发现多项指标异常时,胎儿宫内窘迫已能成立。当S/D大于4时,则胎儿预后不良,应引起临床高度重视。在羊水过少患者中,当S/D>3时,应尽早结束妊娠,降低新生儿病率。

一般认为在诊断胎儿宫内窘迫方面,脐动脉S/D较胎心率监护及羊水检查(量及性状)更为敏感。

4.其他产科疾病

(1)多胎妊娠 双胎输血综合征时,二胎儿的脐动脉S/D将发生变异,S/D值差异>0.4时,提示两个胎儿体重之差>350g左右,差异越大,则体重差异越大。

(2)对胎儿脐带因素预后的评价 当脐带发生真结、肢体缠绕、过长、过细,影响到胎儿胎盘循环时,最早出现异常的是脐动脉血流阻抗指数,S/D值升高显着者,可发生围产儿急性缺氧,甚至围产儿死亡。因此在S/D值高于正常,二维超声及彩超提示脐带缠绕等异常因素存在的情况下,都预示此次脐带因素将对围产儿预后造成危害,或已存在胎儿宫内窘迫,应斟酌分娩方式,及时终止妊娠。

(3)胎儿先天性畸形 部分先天性畸形胎儿于孕28周即可出现脐动脉血流波形异常,S/D值升高,常见为先天性心脏病(可伴有胎心率不齐或早搏)和18三体综合征。

(4)羊水过少 重度羊水过少将压迫脐动脉,导致舒张末期血流速度下降甚至重度羊水过少将压迫脐动脉,导致舒张末期血流速度下降甚至消失,以致脐动脉S/D值明显增高,此时应及早结束分娩。

五、脐动脉血流阻抗分级和临床意义

1.国内分级

Ⅰ级:脐动脉血流阻抗小于3.0,处于正常水平,每两周复查1次。

Ⅱ级:脐动脉血流阻抗异常增高,大于3.0,小于4.0,每周复查1次。

原因:

a.代偿期,尚不会发生急性胎儿窘迫,应及时治疗。

b.取样没有在脐带胎盘处。

c.正常。

Ⅲ级:脐动脉血流阻抗指数S/D>4.0,将导致围产儿预后不良,提示胎儿已进入失偿期,孕周足,终止妊娠,可破膜引产作OCT,苯巴比妥(鲁米那)0.03g,口服,每日3次,以预防胎儿因脑血管扩张引起的出血。

Ⅳ级:又称舒张末期血流动力学缺失波型(AEDV),一旦出现胎儿预后极差,胎儿已进入完全失代偿,临床上应及时终止妊娠。

2.国外分级

Ⅰ级:3<S/D<6。

Ⅱ级:S/D>6。

Ⅲ级:.S/D AEDV。

六、其他动脉血流动力学的监测

1.胎儿脑动脉血流阻抗测定 主要为大脑中动脉,随着胚胎发育,胎儿脑容量增加,脑循环发育成熟,脑动脉数量和管径均增大,血流灌注量增加,脑动脉PI值逐步下降,孕36周后,大脑中动脉PI值分布范围约为1.43±0.32,临界值>1.25。

2.胎儿肾动脉血流阻抗测定 随孕龄增加,肾脏循环系统发育成熟,肾动脉PI值呈下降趋势,孕36周后,肾动脉PI值分布范围约为2.02±0.12,临界值<2.50。

3.子宫螺旋动脉血流阻抗测定 妊高征、糖尿病、前置胎盘等多种产科疾病均可使用母体子宫螺旋动脉血流阻抗指数增高,影响子宫胎盘血管床的血流灌注量,造成胎儿营养缺乏,导致胎儿宫内发育滞缓、窘迫等严重后果。正常妊娠子宫螺旋动脉PI值分布范围约为0.30±0.08水平,但由于子宫螺旋动脉分布面广、分支多,测量时局部采样有局限性,可造成较大误差,降低了其临床诊断的准确性和使用价值。

4.子宫动脉血流阻抗测定 意义同子宫螺旋动脉,目前少用,胎盘侧阻抗高,对侧阻抗低。

5.围产儿预后血流动力学的综合评价 随着对围产儿血流动力学研究日益深入,单一动脉血流阻抗指数预测围产儿预后的敏感性和特异性均不理想。有人提出综合脐、脑、肾等动脉阻抗,以大脑中动脉(M)和肾动脉(R)的PI值之比(M/RPI)及大脑中动脉(M)与脐动脉(U)的PI值之比(M/UPI)为参数,评价围产儿预后,获得良好结果。

在正常妊娠中诊断临界值M/RPI>0.6,M/UPI>1.45。

缺氧各期PI值以及比值变化见表3.4.8。

表3.4.8 缺氧各期PI值以及比值变化

随便看

 

文网收录3541549条中英文词条,其功能与新华字典、现代汉语词典、牛津高阶英汉词典等各类中英文词典类似,基本涵盖了全部常用中英文字词句的读音、释义及用法,是语言学习和写作的有利工具。

 

Copyright © 2004-2024 Ctoth.com All Rights Reserved
京ICP备2021023879号 更新时间:2026/1/17 16:32:01