【结构式】:

【释文】:
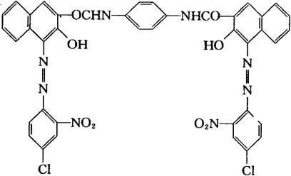
制法 由红色基3GL重氮化后与2,3-酸偶合,所得产物经酸化、酰氯化后再与邻氯对苯二胺缩合而得。
性质 棕色粉末。细度(60目筛余物)≤5.0%。水分≤1.5%。水溶物≤1.5%。在聚氯乙烯中的牢度性能:耐晒性(0.1%)7~8级,耐热性(0.2%)5级,耐迁移性(0.2%)5级。
用途 本品可作为塑料和橡胶的着色剂,着色力强,色光鲜艳,耐热稳定在180℃。耐晒和耐迁移性能优良。适用于聚氯乙烯、聚碳酸酯、聚四氟乙烯、橡胶等的着色。
国内生产厂 上海染化十二厂
国外生产厂
